Time management is very much important in IIT JAM. The eduncle test series for IIT JAM Mathematical Statistics helped me a lot in this portion. I am very thankful to the test series I bought from eduncle.
Nilanjan Bhowmick AIR 3, CSIR NET (Earth Science)

>


Anuj s.
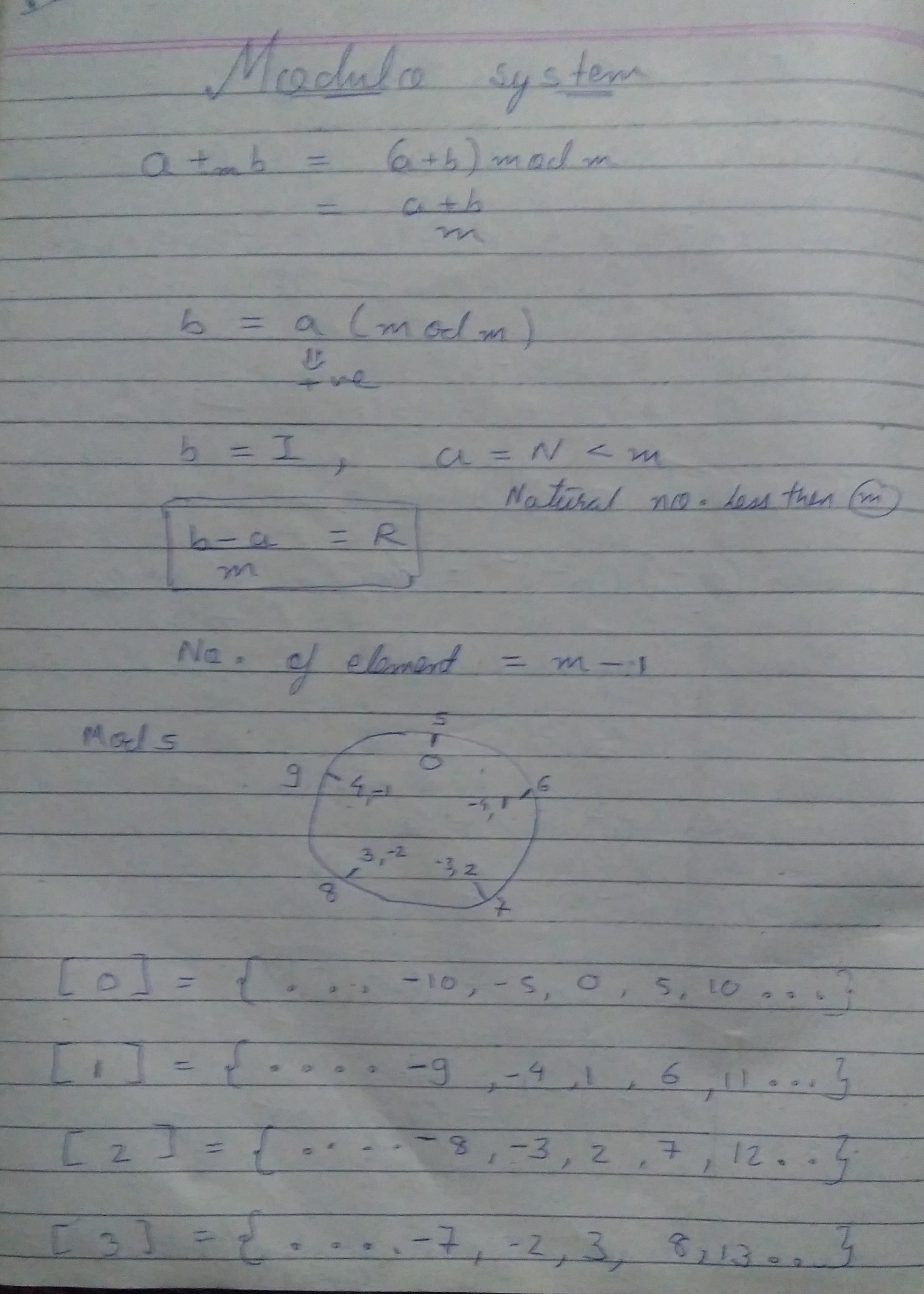
if you have A= amod(x) then you divide the A by x (perfect no. (previous one))ans then remainder-1 is our ans because in modulo system "0" is taken if you have any doubt then feel free to ask we will discuss