Time management is very much important in IIT JAM. The eduncle test series for IIT JAM Mathematical Statistics helped me a lot in this portion. I am very thankful to the test series I bought from eduncle.
Nilanjan Bhowmick AIR 3, CSIR NET (Earth Science)
>



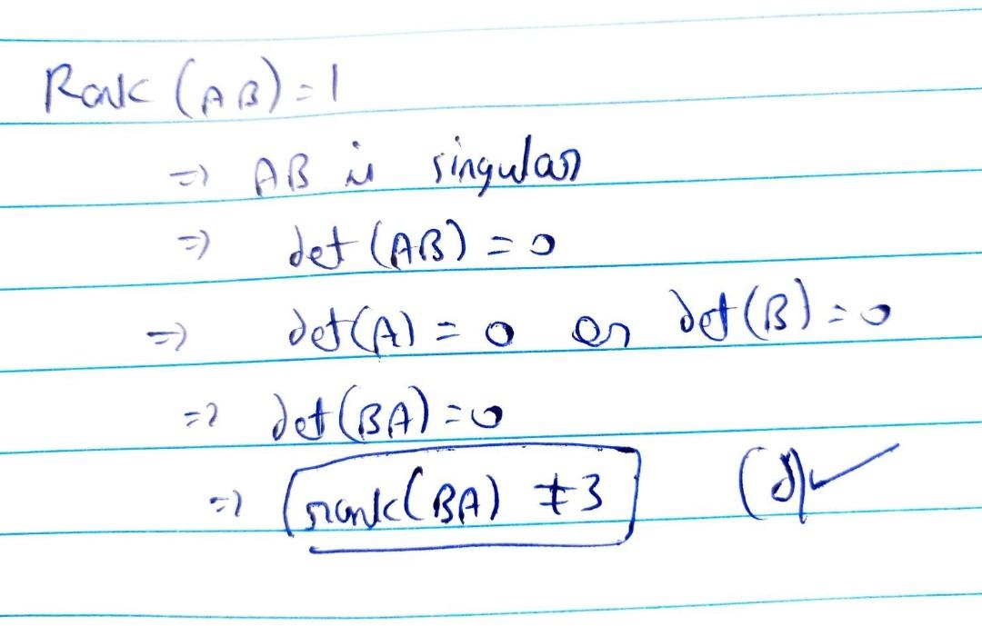
Deepak singh 1 Best Answer
Refer attachment , option d
sir i did not relation between determinant and rank in last line...i.e. how |AB|=0 implies rank cant be 3
wait.
see , used this result
feel free to ask again