Time management is very much important in IIT JAM. The eduncle test series for IIT JAM Mathematical Statistics helped me a lot in this portion. I am very thankful to the test series I bought from eduncle.
Nilanjan Bhowmick AIR 3, CSIR NET (Earth Science)
>



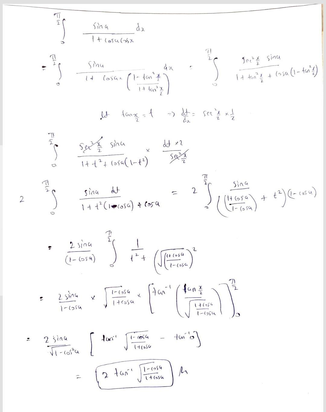
Deepak singh 1 Best Answer
Refer attached
sir final ans in book was -a
ok..wait. then we have to solve further..
see , answer is a
there is misprint in book .. answer is a not -a