Time management is very much important in IIT JAM. The eduncle test series for IIT JAM Mathematical Statistics helped me a lot in this portion. I am very thankful to the test series I bought from eduncle.
Nilanjan Bhowmick AIR 3, CSIR NET (Earth Science)
>


Deepak singh 1 Best Answer
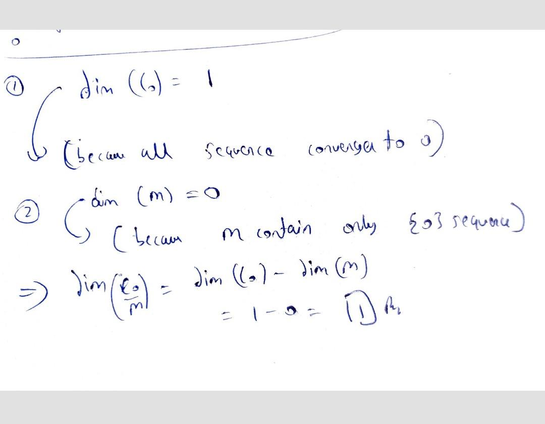
Refer attached solution . Answer is 1
sir why dim (c0/m)=dimc0—dim m..by which property u wrote it sir pls once tell
this is correct formula