Time management is very much important in IIT JAM. The eduncle test series for IIT JAM Mathematical Statistics helped me a lot in this portion. I am very thankful to the test series I bought from eduncle.
Nilanjan Bhowmick AIR 3, CSIR NET (Earth Science)
>
>


Gattu uday
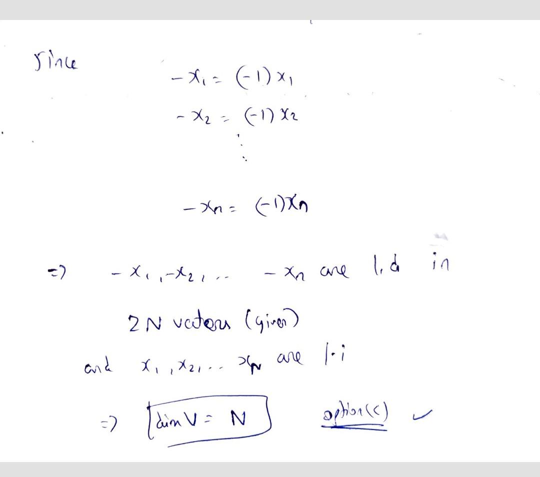
A vectorspace can be Spanned or generated by many vectors ( More than the dimension of Vectorspace also) but the minimum Linearly Independent vectors forms basis , Orthogonal vectors are always Linearly Independent hence N vectors forms a basis for the given Vectorspace soo dimension is N ...Here we knew that N vectors are Linearly independent we donno about N+1,N+2,......2N vectors ,they may be linearly dependent ,we have to consider upto N vectors are Independent ...