Time management is very much important in IIT JAM. The eduncle test series for IIT JAM Mathematical Statistics helped me a lot in this portion. I am very thankful to the test series I bought from eduncle.
Nilanjan Bhowmick AIR 3, CSIR NET (Earth Science)
>
>


Gattu uday
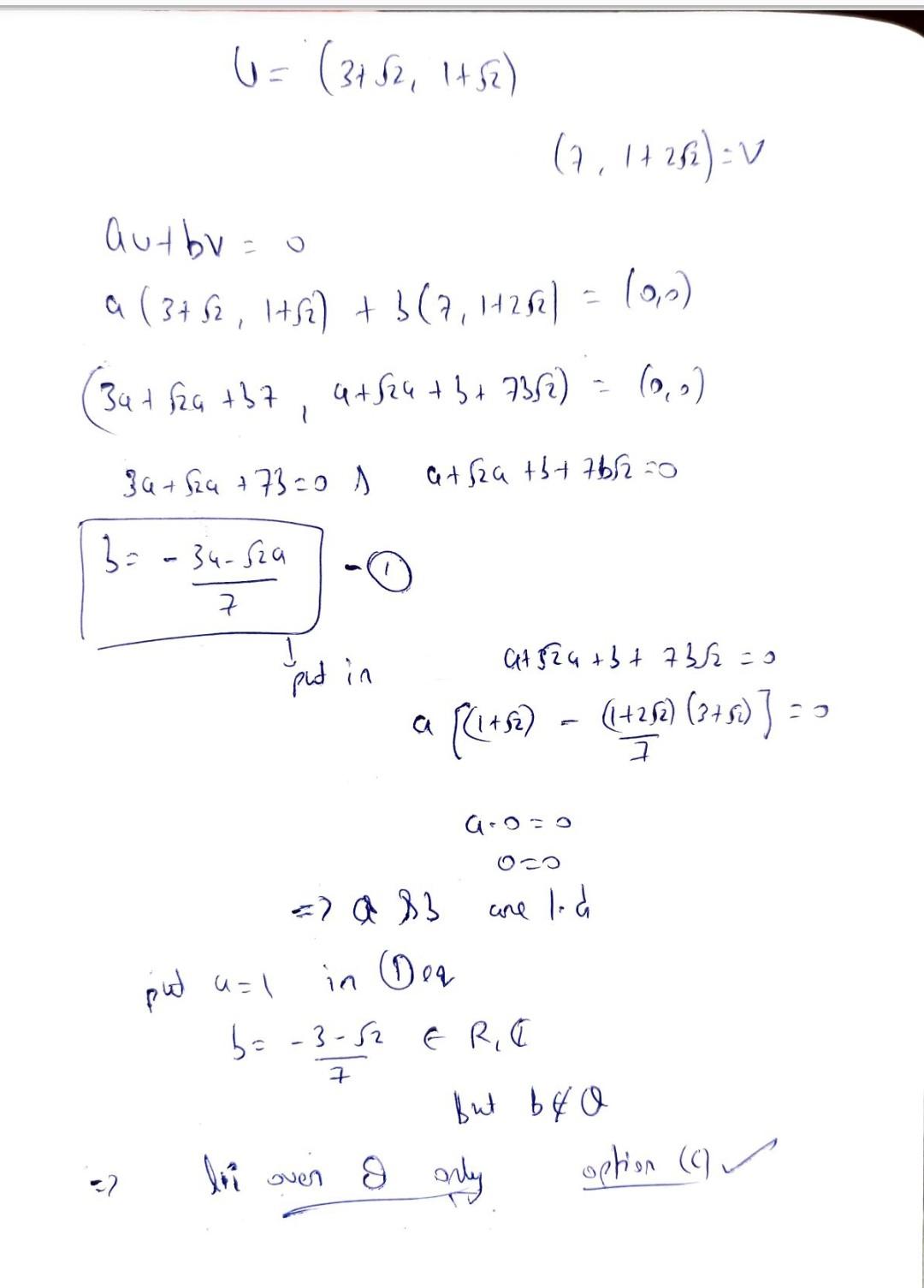
clearly u,v are LID vectors nd u,v are Irrational vectors soo Irrational vectors can be lid or ld on Rationals only... hence c is correct ☺️