Anku posted an Question
May 25, 2021 • 14:16 pm 30 points
  • IIT JAM
  • Mathematical Statistics (MS)

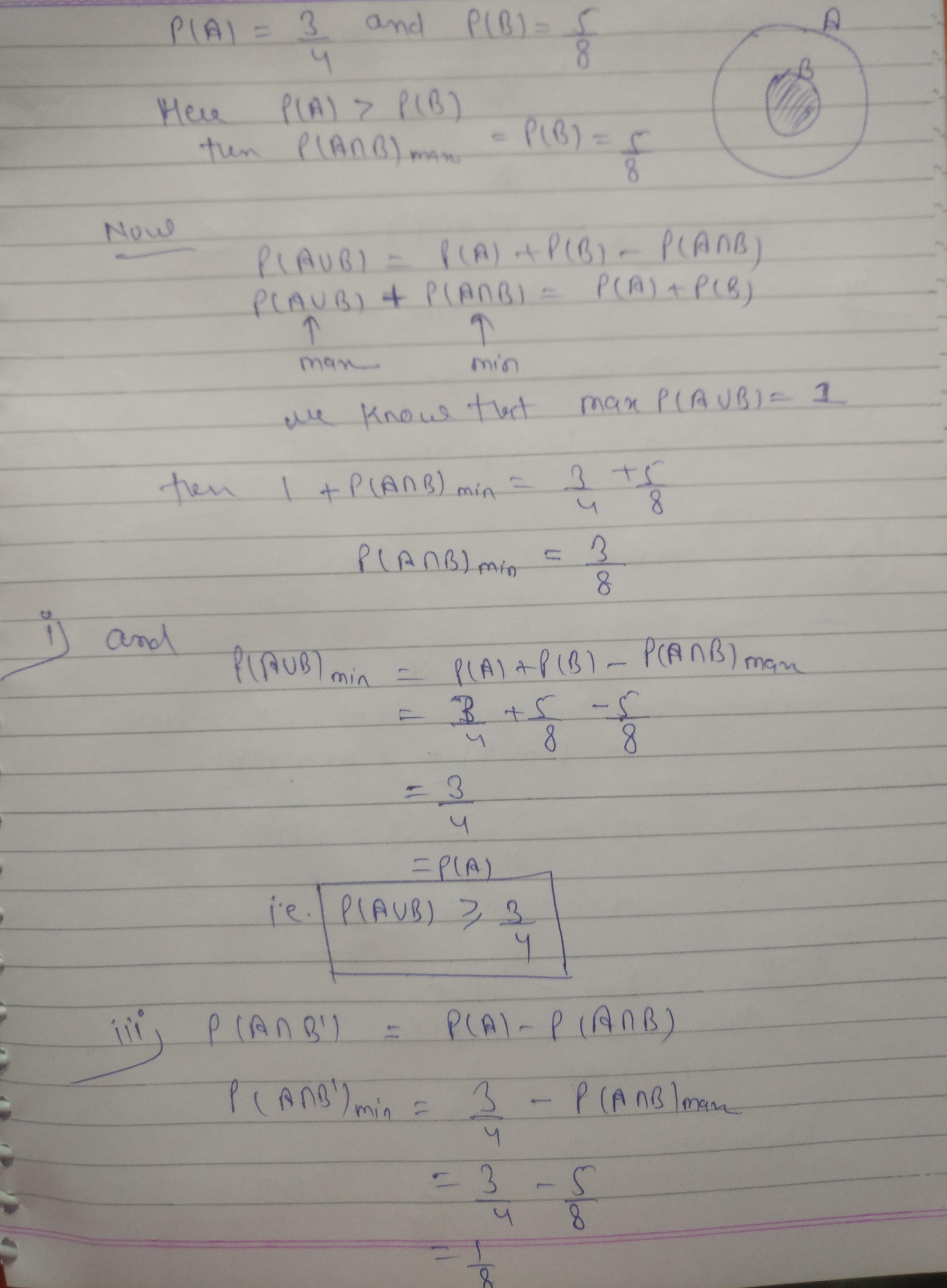
How to solve pls once show steps..

how to solve pls once show steps... . . . .. . . . . . .. . . .. . . . . .. . .. . . ..

2 Answer(s) Answer Now
  • 0 Likes
  • 2 Comments
  • 0 Shares
whatsapp-btn

Do You Want Better RANK in Your Exam?

Start Your Preparations with Eduncle’s FREE Study Material

  • Updated Syllabus, Paper Pattern & Full Exam Details
  • Sample Theory of Most Important Topic
  • Model Test Paper with Detailed Solutions
  • Last 5 Years Question Papers & Answers