Time management is very much important in IIT JAM. The eduncle test series for IIT JAM Mathematical Statistics helped me a lot in this portion. I am very thankful to the test series I bought from eduncle.
Nilanjan Bhowmick AIR 3, CSIR NET (Earth Science)


Alka gupta Best Answer
ans B ..
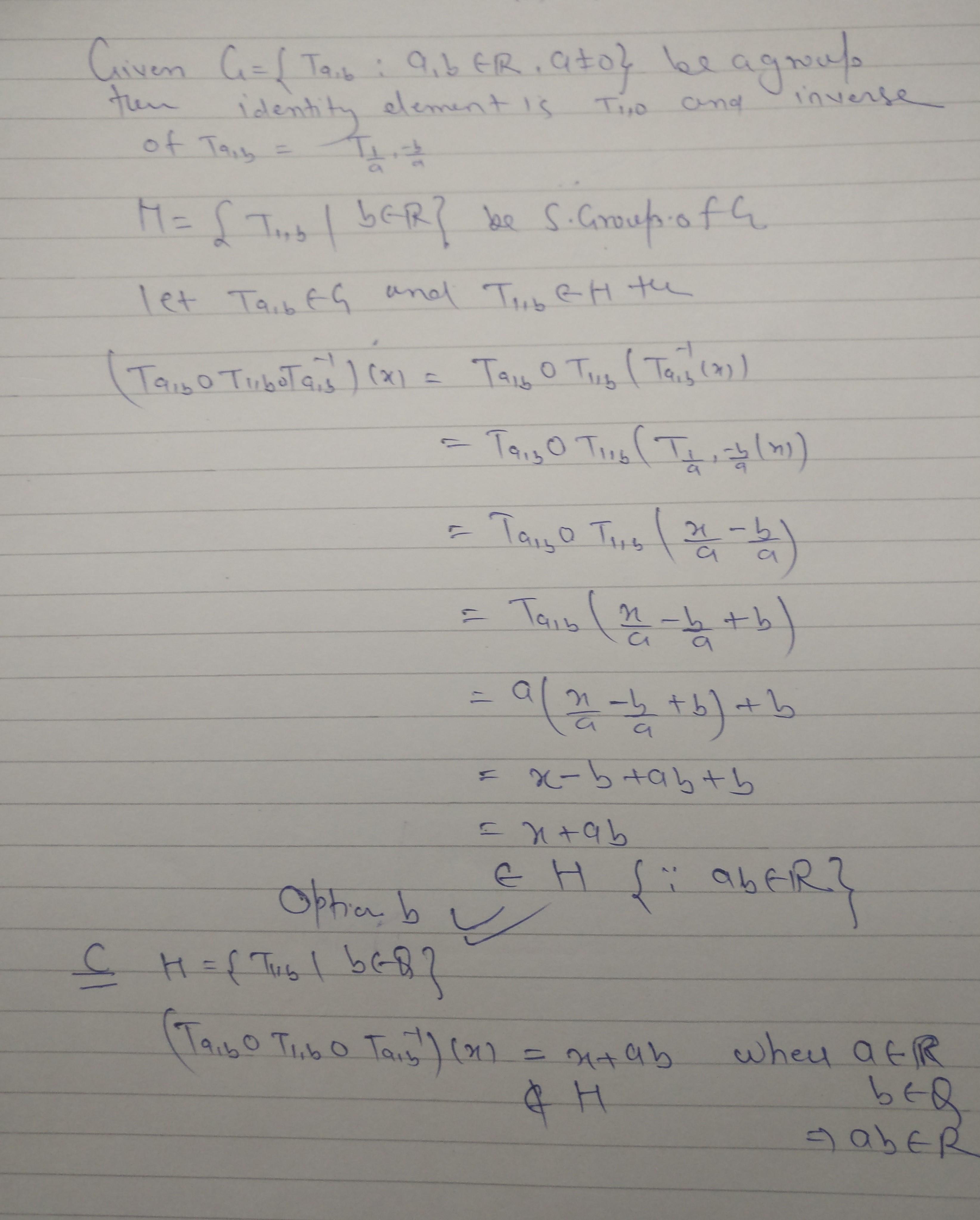
mam how u wrote this part pls once explain i am not able to understand red encircled part
see
got it now mam...thanks a lot mam