Time management is very much important in IIT JAM. The eduncle test series for IIT JAM Mathematical Statistics helped me a lot in this portion. I am very thankful to the test series I bought from eduncle.
Nilanjan Bhowmick AIR 3, CSIR NET (Earth Science)
>


Deepak singh 1 Best Answer
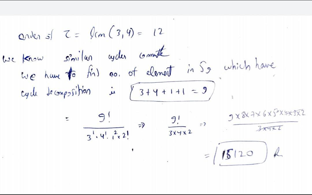
Refer attached Answer is 15120
sir in official answer key its ans given is 24...
ok .let me check
yes sir
Refer attached , answer is 24