Time management is very much important in IIT JAM. The eduncle test series for IIT JAM Mathematical Statistics helped me a lot in this portion. I am very thankful to the test series I bought from eduncle.
Nilanjan Bhowmick AIR 3, CSIR NET (Earth Science)
>


Deepak singh 1 Best Answer
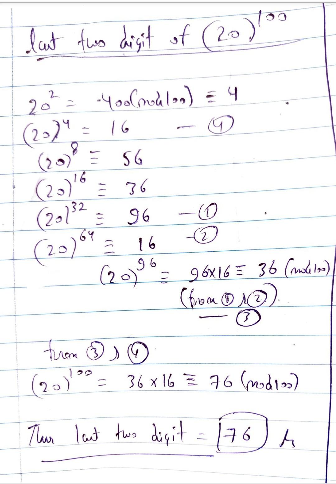
Refer attached
sir how u wrote the red encircled part pls once tell..i am not able to get that..
by squaring both sides and taking mod .
there is mistake wait .. ignore above attached . Answer is 0
Refer attached , answer is 0
sir can this type of question be asked in jam..?
yes , can be asked ..