Time management is very much important in IIT JAM. The eduncle test series for IIT JAM Mathematical Statistics helped me a lot in this portion. I am very thankful to the test series I bought from eduncle.
Nilanjan Bhowmick AIR 3, CSIR NET (Earth Science)
>



Anonymous User
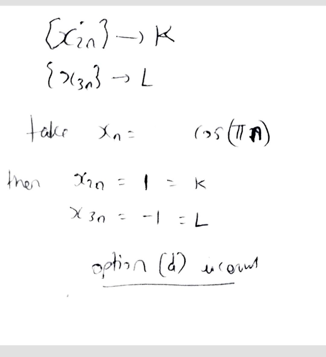
its right answer is c consider a sequence Xn. =0 prime 1 otherwise then x2n converge to 1 ie K=1 x3n converge to 1 ie L=1 K=L but Xn not convergent
for more watch https://youtu.be/wrIOTlVm4hY
watch vedio
cos(npi) = (-1)^n so (-1)^3n = -1or 1