Time management is very much important in IIT JAM. The eduncle test series for IIT JAM Mathematical Statistics helped me a lot in this portion. I am very thankful to the test series I bought from eduncle.
Nilanjan Bhowmick AIR 3, CSIR NET (Earth Science)
>
>
>



Piyush pachauri
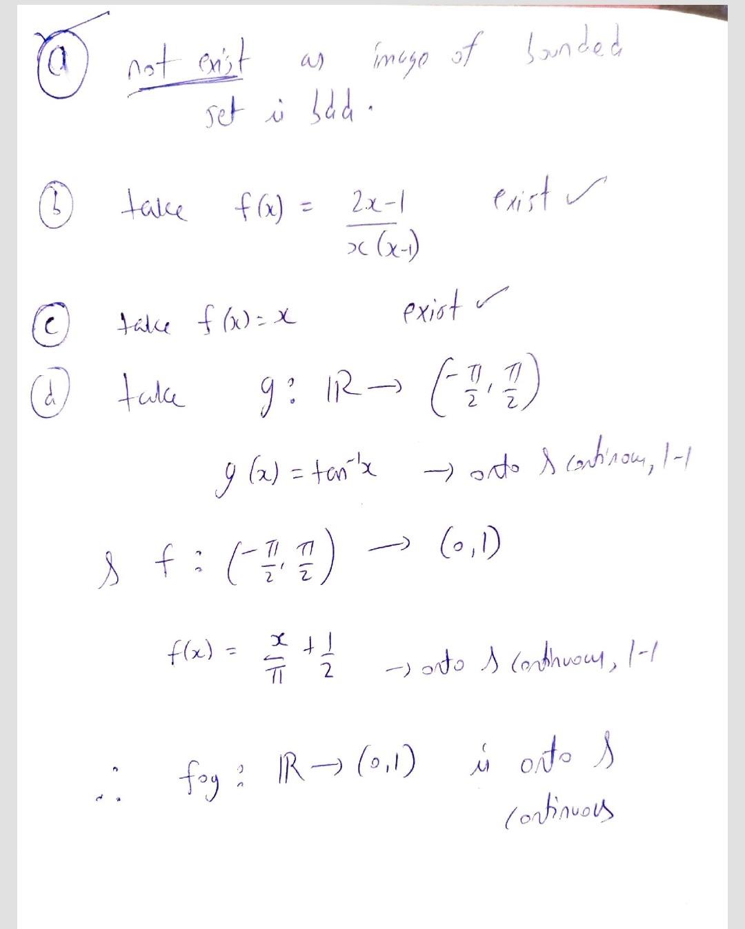
Option A,C is correct as image of compact set is compact set under continuous function but range is not compact so no such function exist.