Time management is very much important in IIT JAM. The eduncle test series for IIT JAM Mathematical Statistics helped me a lot in this portion. I am very thankful to the test series I bought from eduncle.
Nilanjan Bhowmick AIR 3, CSIR NET (Earth Science)


Alka gupta Best Answer
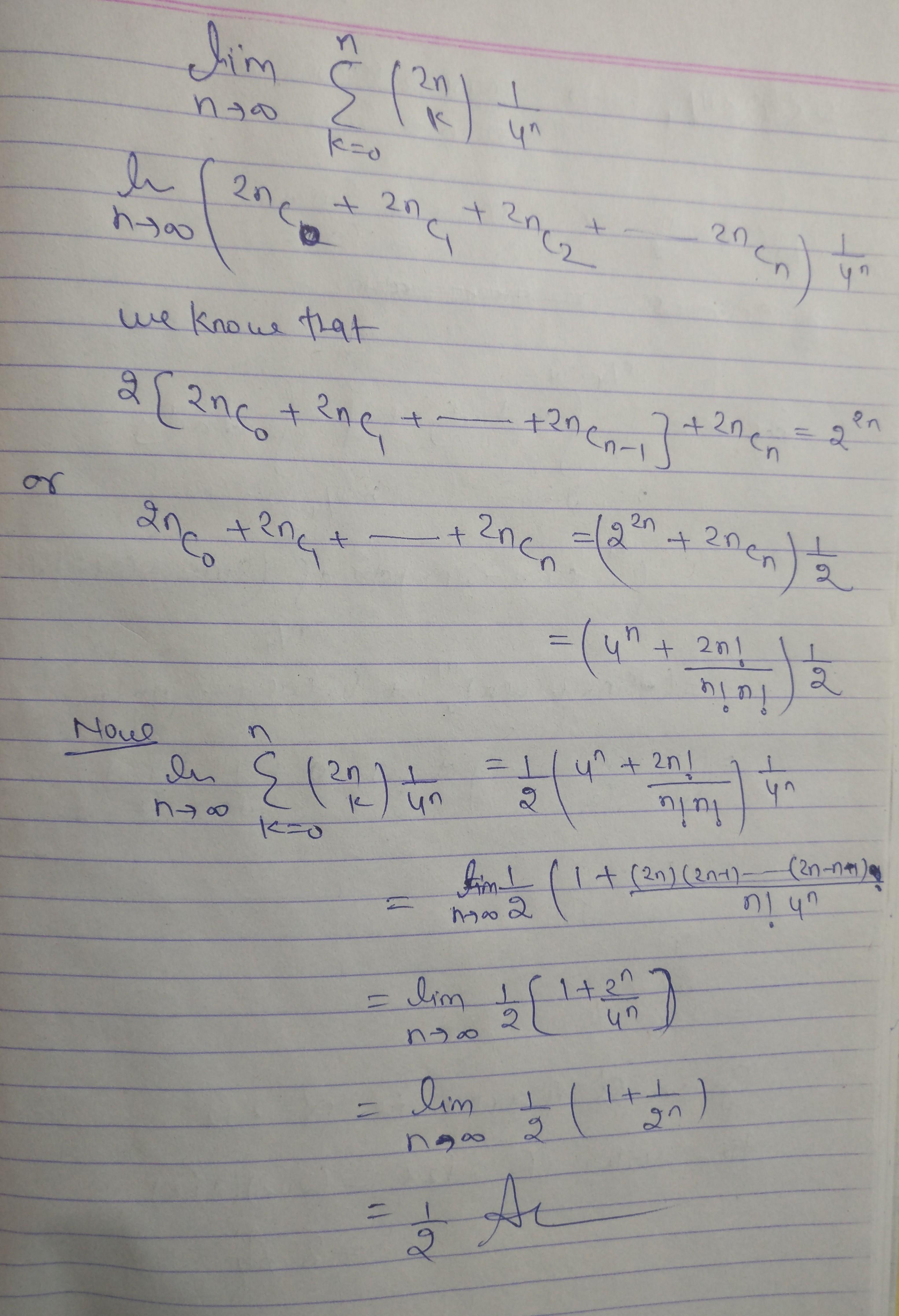
option D is correct...see attachment
mam please can u tell a good book to practice question of limit..i am not able to solve good questions ...it would be a great help mam
yes...plz follow
this book help you lots.....
ok mam