Anku posted an Question
January 05, 2021 • 03:27 am 30 points
  • IIT JAM
  • Mathematics (MA)

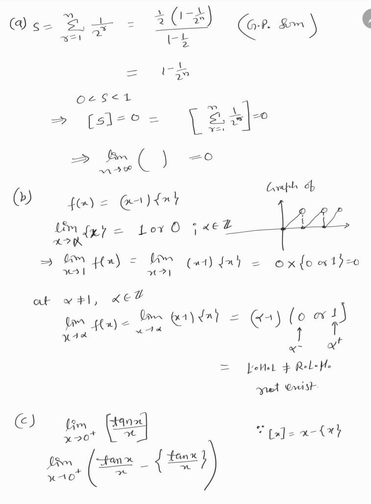
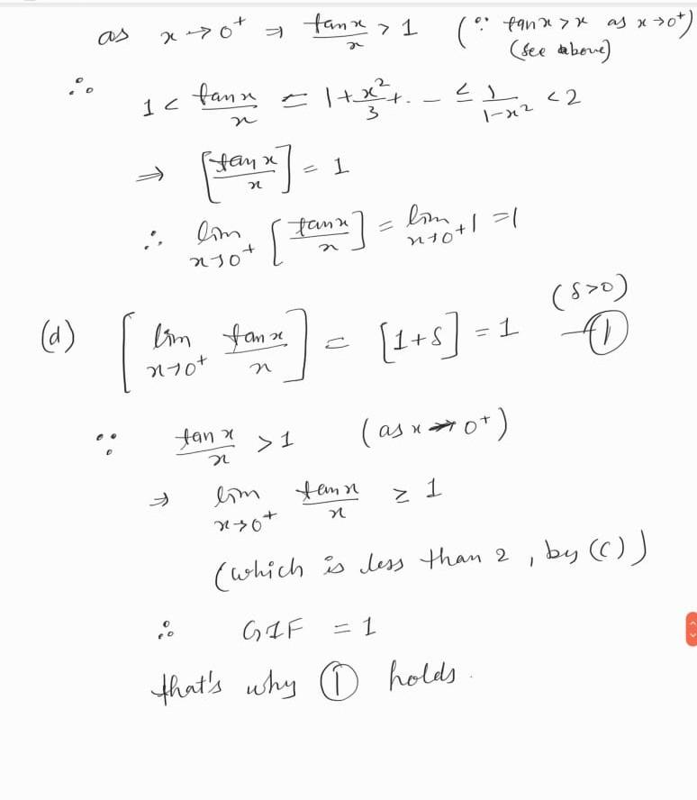
How to solve this question..pls once show steps...basically i am having problem with greatest integer function here

how to solve this question............. .. . . . . . .. . . . . .

1 Answer(s) Answer Now
  • 2 Likes
  • 1 Comments
  • 0 Shares
whatsapp-btn

Do You Want Better RANK in Your Exam?

Start Your Preparations with Eduncle’s FREE Study Material

  • Updated Syllabus, Paper Pattern & Full Exam Details
  • Sample Theory of Most Important Topic
  • Model Test Paper with Detailed Solutions
  • Last 5 Years Question Papers & Answers