Time management is very much important in IIT JAM. The eduncle test series for IIT JAM Mathematical Statistics helped me a lot in this portion. I am very thankful to the test series I bought from eduncle.
Nilanjan Bhowmick AIR 3, CSIR NET (Earth Science)
>



Deepak singh 1 Best Answer
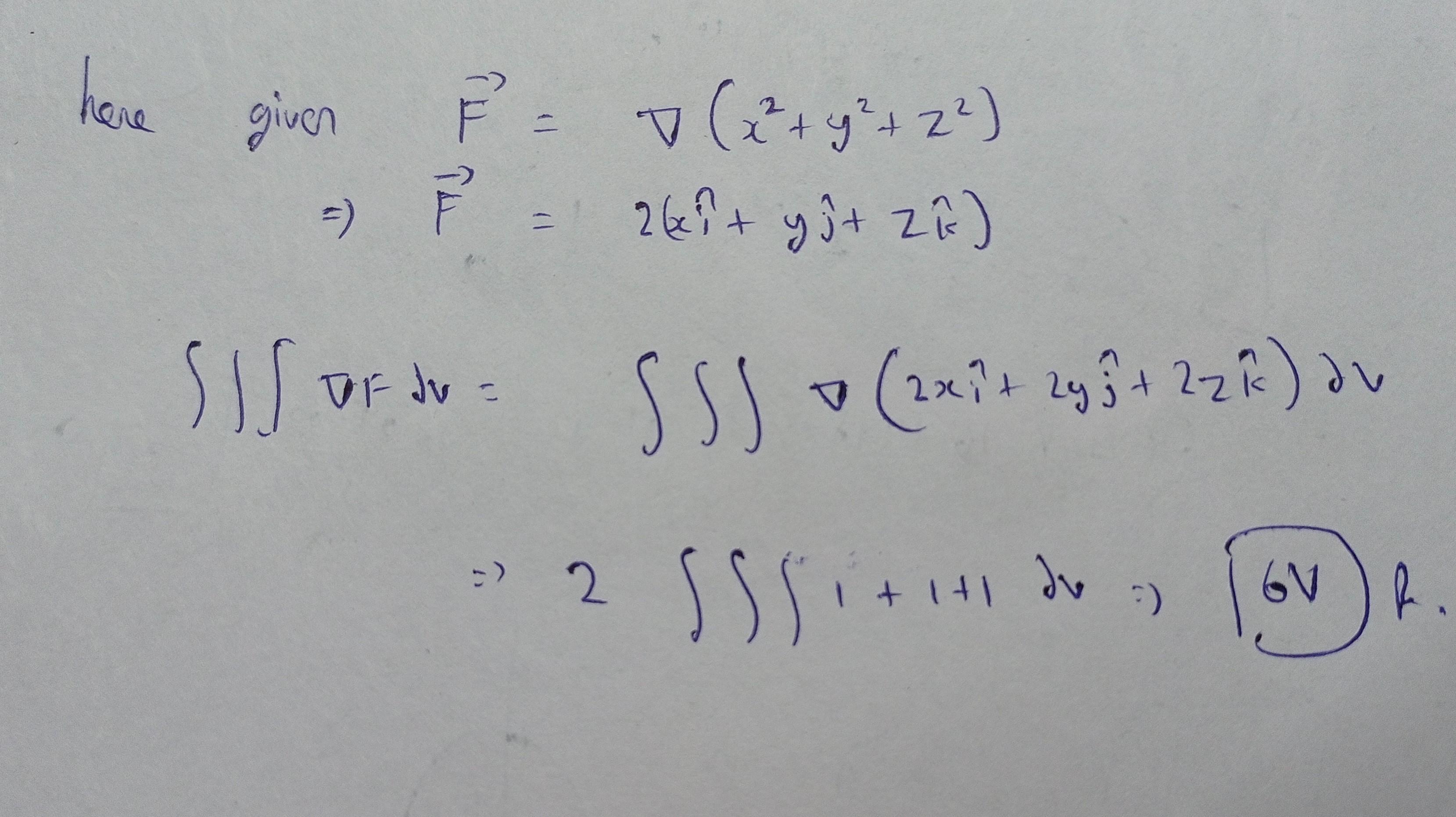
see , answer is 6v , you were written incorrect value of F vector ..in post
sir how 1+1+1 came in orange box..
have u taken divergence there..!!
yes
sir but why u took divergence twice..i didnot got that
1st divergence in step 2 and 2nd divergenve in orange box part
see , first divergence is already in F and second divergence is by divergence theorem ...
thanks a lot sir i got it..sorry sir for wrong question ..basically i had written x² only there but my handwriting.....
see , there is delta in F that you had not written
feel free to ask again .