Time management is very much important in IIT JAM. The eduncle test series for IIT JAM Mathematical Statistics helped me a lot in this portion. I am very thankful to the test series I bought from eduncle.
Nilanjan Bhowmick AIR 3, CSIR NET (Earth Science)


Priyadarshan Choursiya
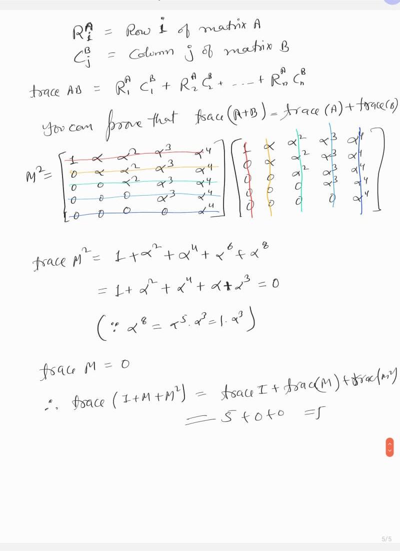
for this question you have to some basic information about complex, nth root of unity, sum of gp, trace of matrices, and when addition of matrices define i.e. have same order.