Time management is very much important in IIT JAM. The eduncle test series for IIT JAM Mathematical Statistics helped me a lot in this portion. I am very thankful to the test series I bought from eduncle.
Nilanjan Bhowmick AIR 3, CSIR NET (Earth Science)
>


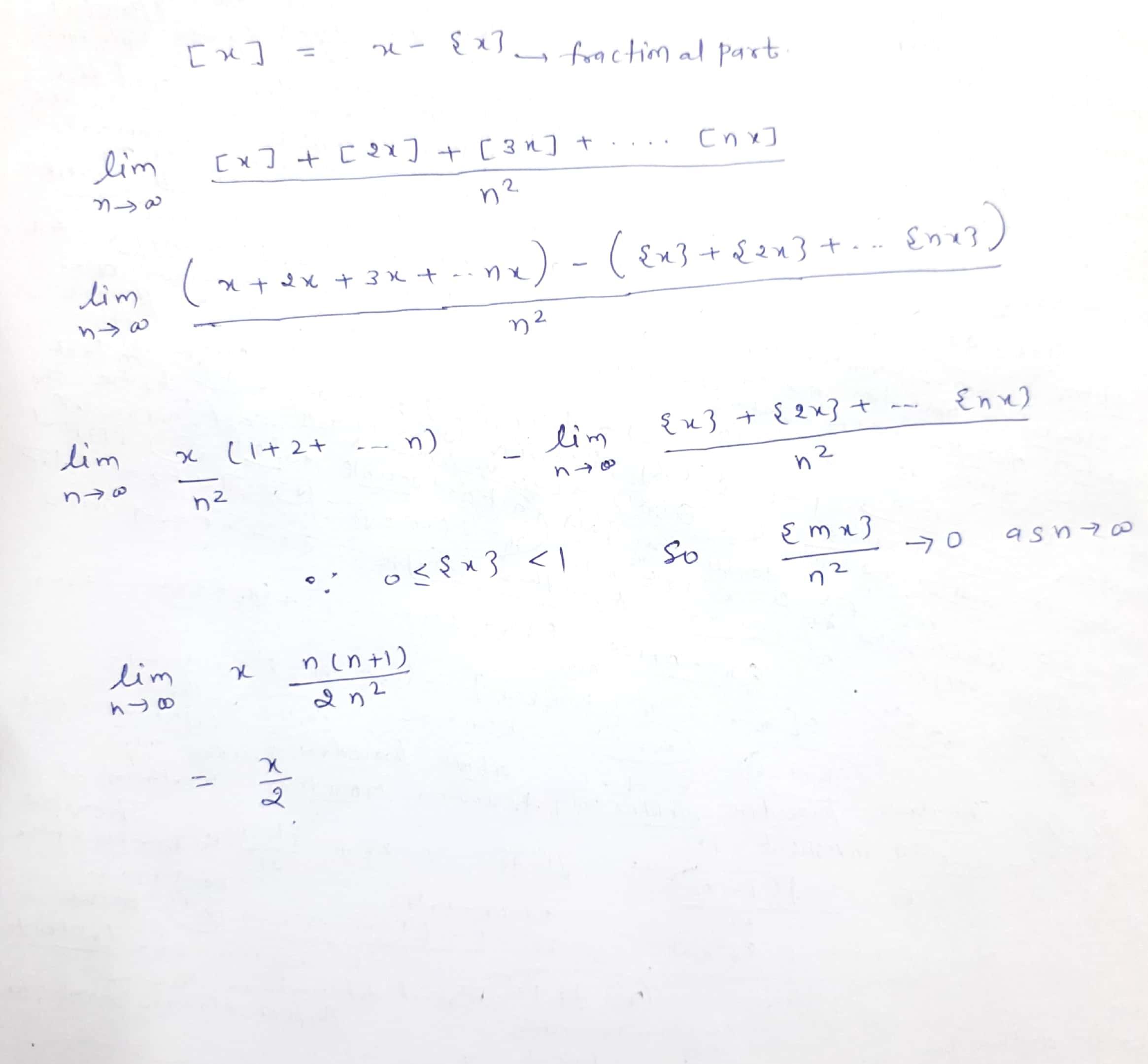
Satpal singh Best Answer
see the attachment
sir can we solve by squeez theorem...if so pls can u once show what inequality will i need to take
i think it is difficult to compare fractional part function
ok sir .