Time management is very much important in IIT JAM. The eduncle test series for IIT JAM Mathematical Statistics helped me a lot in this portion. I am very thankful to the test series I bought from eduncle.
Nilanjan Bhowmick AIR 3, CSIR NET (Earth Science)



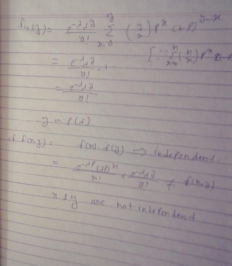
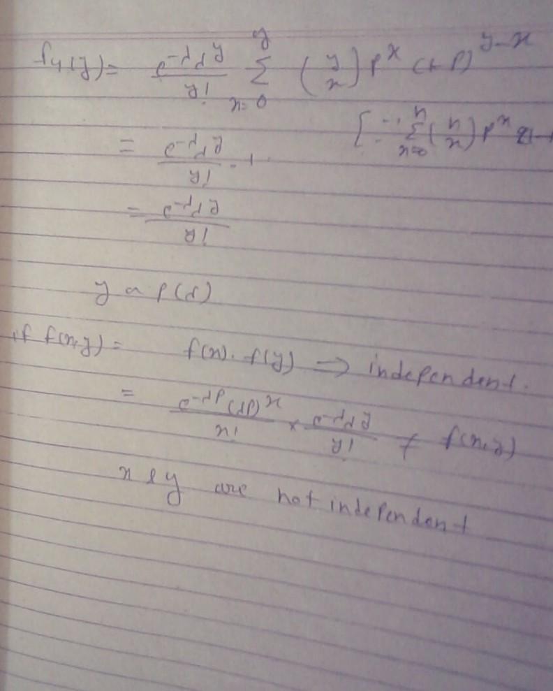
Harshita Best Answer
I solved it . since both are discrete discrete variables I used summation. and if you have any doubt in any step you are free to ask.