Time management is very much important in IIT JAM. The eduncle test series for IIT JAM Mathematical Statistics helped me a lot in this portion. I am very thankful to the test series I bought from eduncle.
Nilanjan Bhowmick AIR 3, CSIR NET (Earth Science)
>


Deepak singh 1 Best Answer
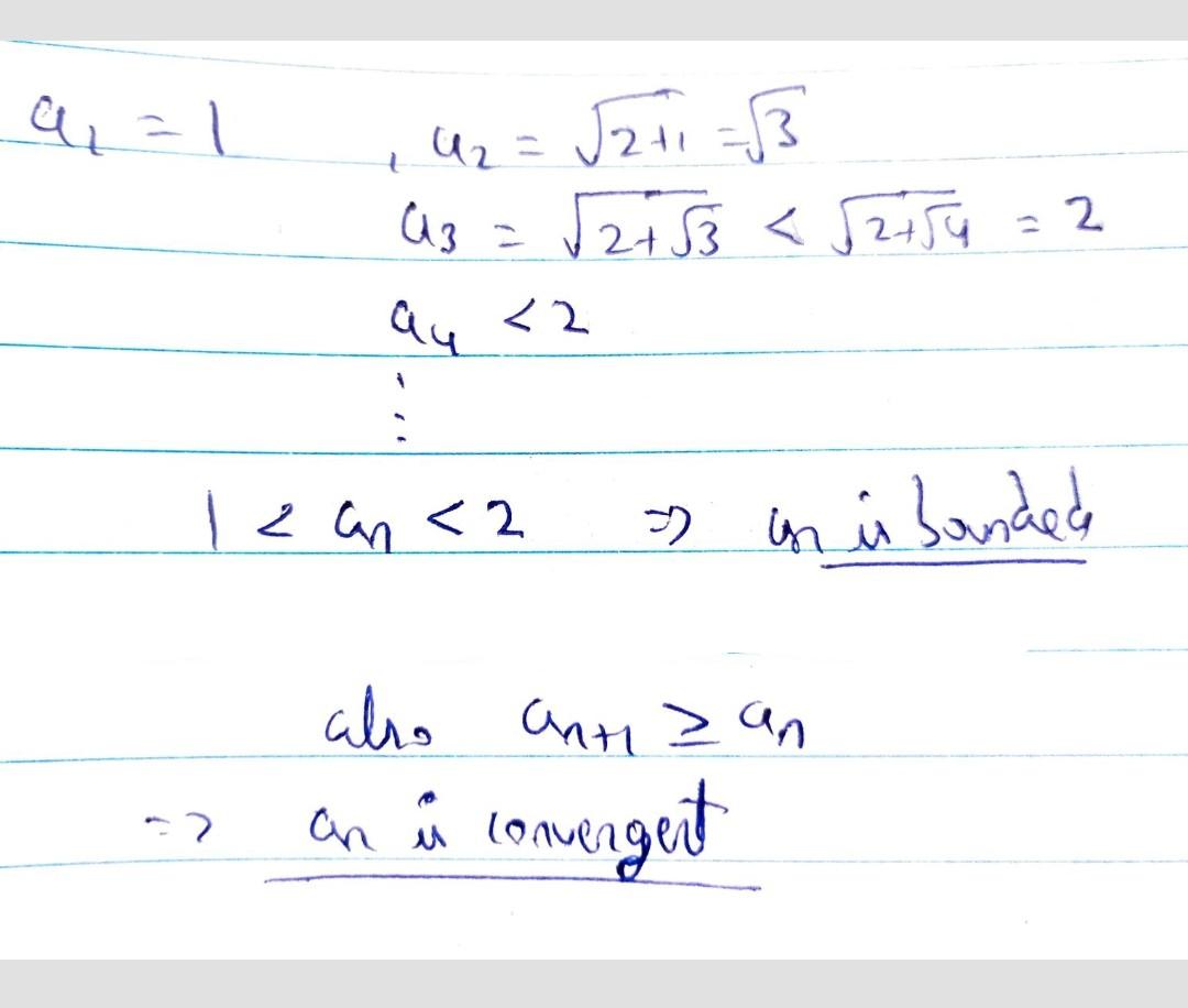
Refer attached option a is correct
how can we be sure that will not exceed 2?
its easily seen here . If even want to proove , then just use Principal mathematical induction (PMI ) to proove .