Time management is very much important in IIT JAM. The eduncle test series for IIT JAM Mathematical Statistics helped me a lot in this portion. I am very thankful to the test series I bought from eduncle.
Nilanjan Bhowmick AIR 3, CSIR NET (Earth Science)
>


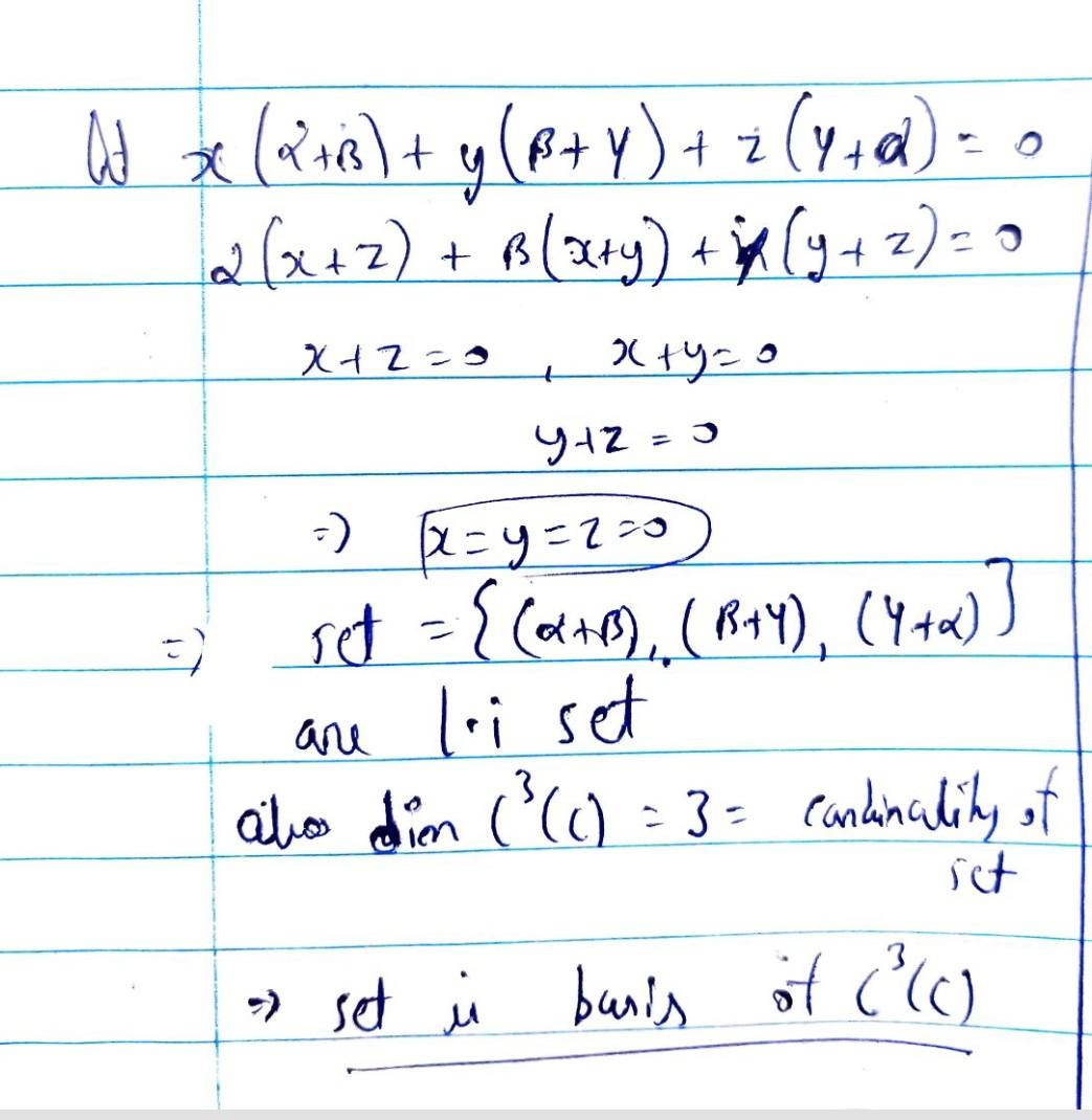
Deepak singh 1 Best Answer
Refer attached
is that how we show a set of vectors span a vector space?
yes , if dimension of vector space is equal to cardinality of a l.i set then that set act as basis of vector space .
if the vector space were R4 then the set will no longer act as a basis, right sir?
yes , if it was R^4 ,then set can't act as basis . Then cardinality of set should be 4 for becoming basis .