Time management is very much important in IIT JAM. The eduncle test series for IIT JAM Mathematical Statistics helped me a lot in this portion. I am very thankful to the test series I bought from eduncle.
Nilanjan Bhowmick AIR 3, CSIR NET (Earth Science)
>

>


Dinesh khalmaniya 1
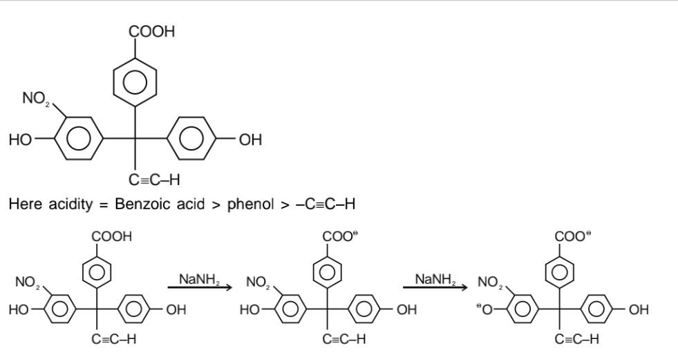
Shweta first we will check more acidic functional group here Benzoic acid is more acidic than phenol and phenol is more acidic than acetylene due to resonance. here only two mole of NaNH2 given he to phle -COOH ka H remove hoga because it is most Acidic among all. Next mole ortho nitro phenol consume krega because Benzoic acid se less acidic he. now ab jb koi mole hi NaNH2 ka nhi bchega to acetyle or phenol kya consume krega??
sir mujhe lgta ortho nitro phenol Jada acidic hai benzoic acid se kyuki no2 has more -i and it stabilize o-
No shweta, Benzoic acid is more acidic than phenol.. NO2 group phenol ki acidiy ko increase krta he but itna koi frk nhi pdta. check the data
check it