Time management is very much important in IIT JAM. The eduncle test series for IIT JAM Mathematical Statistics helped me a lot in this portion. I am very thankful to the test series I bought from eduncle.
Nilanjan Bhowmick AIR 3, CSIR NET (Earth Science)
>


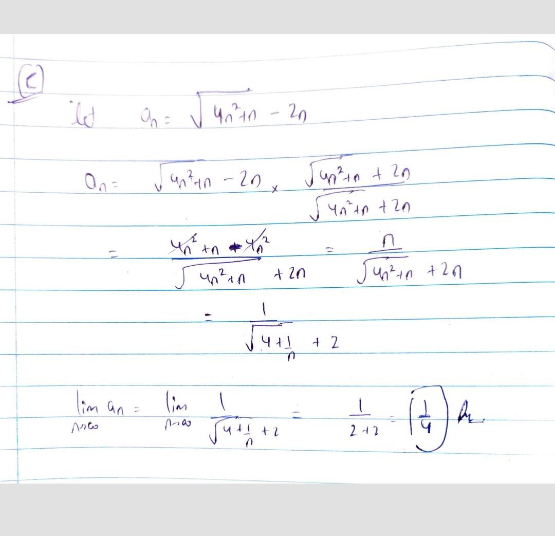
Deepak singh 1
Refer attached
similarly try part 1 and 2 , if not get then ask .
can u explain how did u get "1/√(4+1/n) + 2" ??
take common factor n from numerator and denominator .
see.
Got it.... thank you
I also want to know that why do we have to keep '1' in the numerator to solve these sums?
here we have no target to keep 1 in numerator . We have just cancelled common factor , and 1 automatically came . There may be anything in numerator .
ok I understood now. Thanks a lot.
most welcome ..