Time management is very much important in IIT JAM. The eduncle test series for IIT JAM Mathematical Statistics helped me a lot in this portion. I am very thankful to the test series I bought from eduncle.
Nilanjan Bhowmick AIR 3, CSIR NET (Earth Science)


Sanjay kumar Best Answer
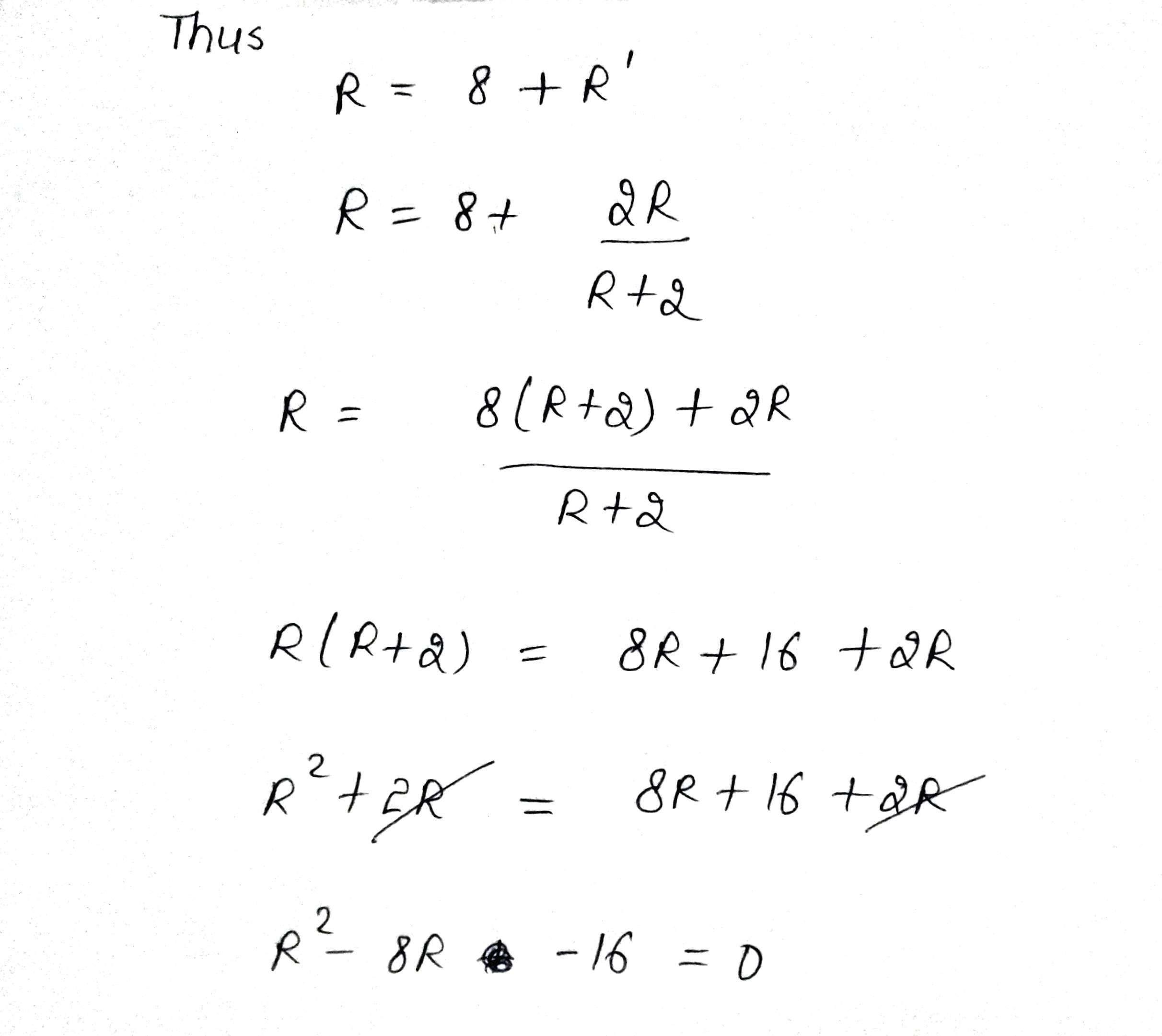
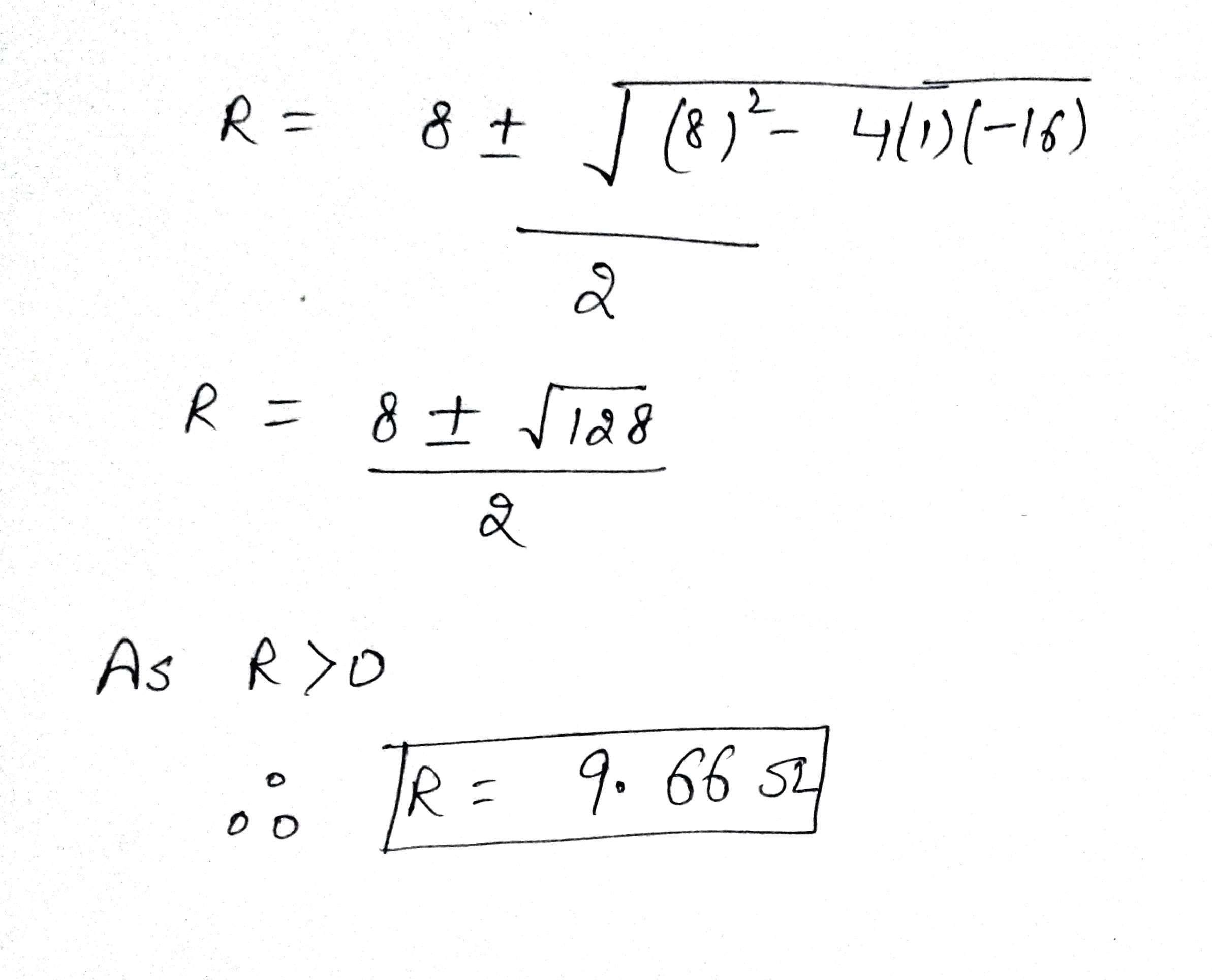
Ans Equivalent resistance = 9.66 Ohm
👌
Thanks for appreciation