Time management is very much important in IIT JAM. The eduncle test series for IIT JAM Mathematical Statistics helped me a lot in this portion. I am very thankful to the test series I bought from eduncle.
Nilanjan Bhowmick AIR 3, CSIR NET (Earth Science)
>



Priyanshu kumar Best Answer
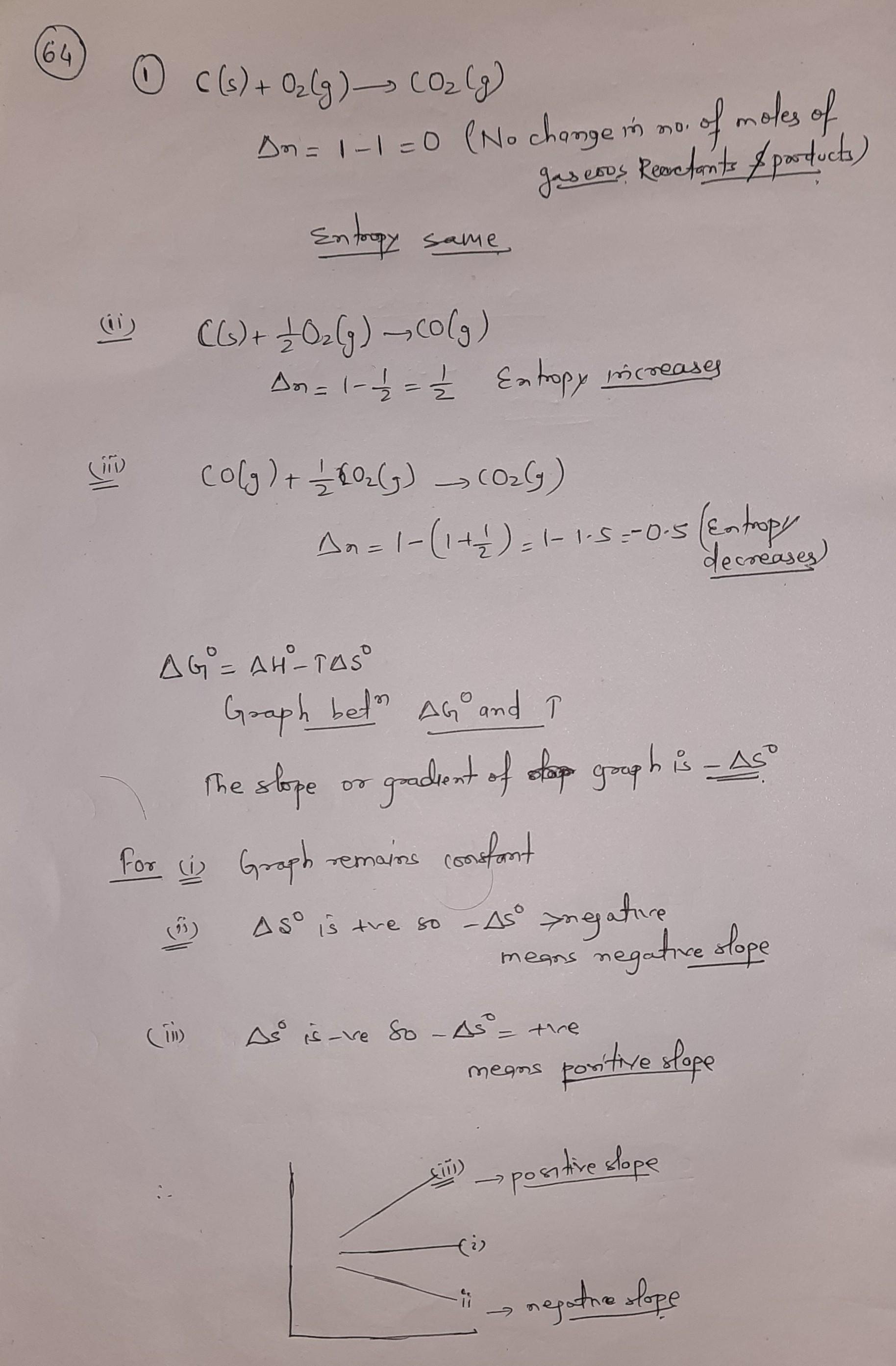
see this
you can approach like this
sir if dG value are - 20 and - 30..which one is more spontaneous
I'm not exactly aware about this...but more negative means more favourable so more spontaneous
ans kya hoga sir. - 20?
yes i think...but let me confrm...