Lalthazuala posted an Question
July 26, 2021 • 01:35 am 30 points
  • IIT JAM
  • Mathematics (MA)

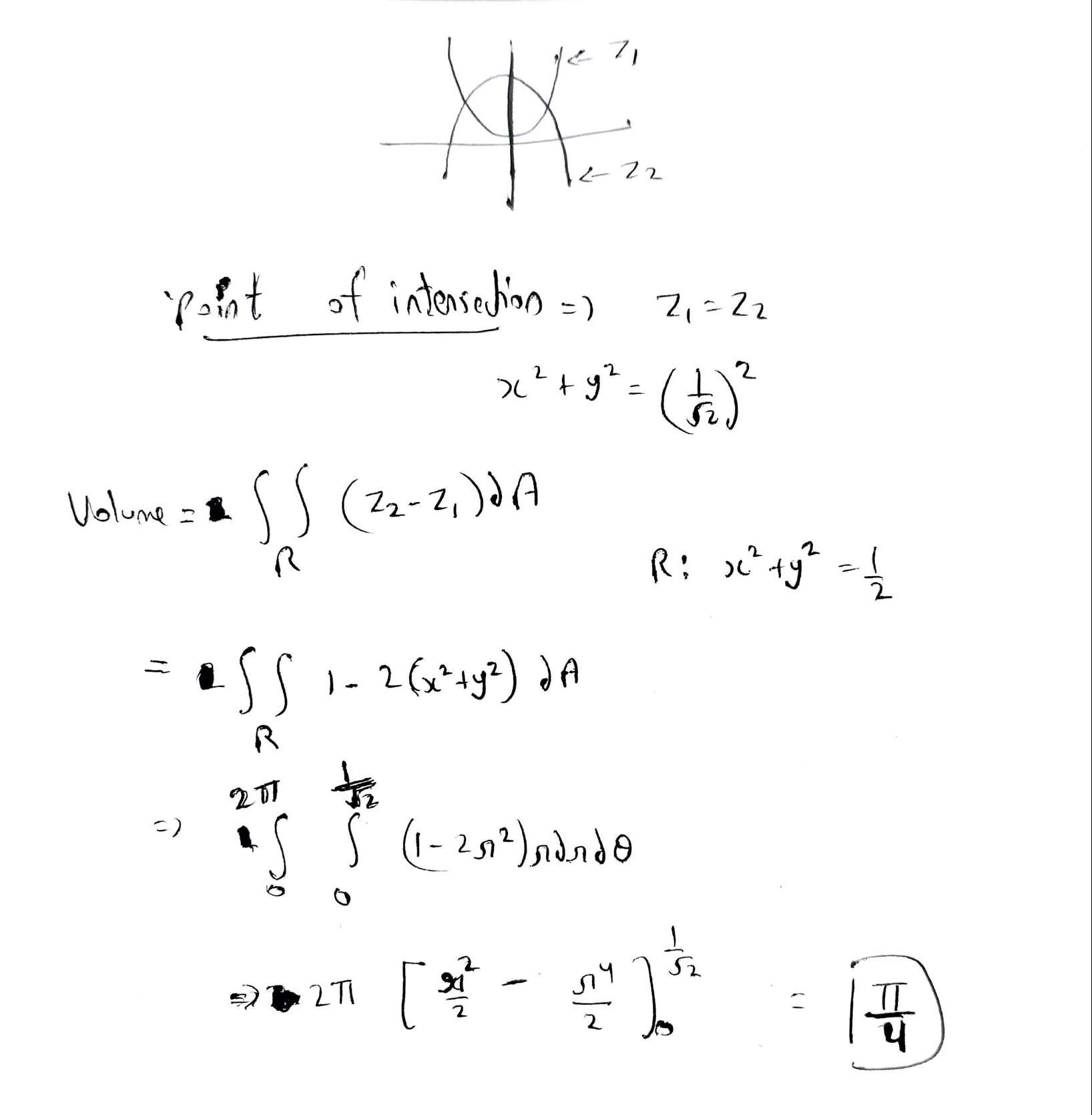
Ihe volume of the solid formed by two paraboloids: z, = x+ y and z, = 1 - x -y (b) t/2 (a) (d) 0 (c) 1 5 inall tall free: 1800-120-1021

Ihe volume of the solid formed by two paraboloids: Z, = x+ y and z, = 1 - x -Y (B) T/2 (A) (D) 0 (C) 1 5 inall Tall Free: 1800-120-1021

1 Answer(s) Answer Now
  • 0 Likes
  • 1 Comments
  • 0 Shares
whatsapp-btn

Do You Want Better RANK in Your Exam?

Start Your Preparations with Eduncle’s FREE Study Material

  • Updated Syllabus, Paper Pattern & Full Exam Details
  • Sample Theory of Most Important Topic
  • Model Test Paper with Detailed Solutions
  • Last 5 Years Question Papers & Answers