Time management is very much important in IIT JAM. The eduncle test series for IIT JAM Mathematical Statistics helped me a lot in this portion. I am very thankful to the test series I bought from eduncle.
Nilanjan Bhowmick AIR 3, CSIR NET (Earth Science)


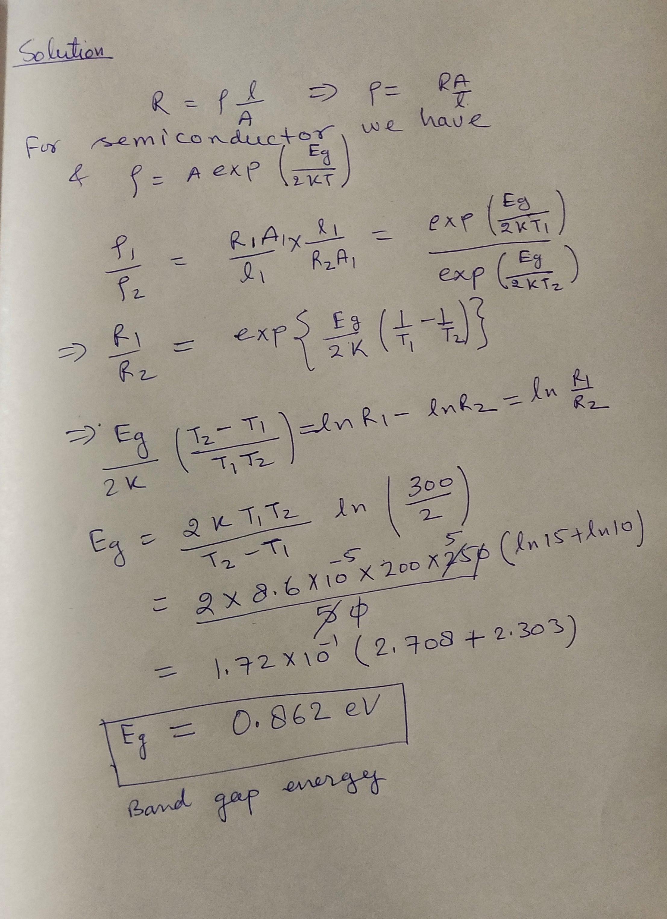
Rohit kumar gupta
hope this will helps to understand
In resistance expression rho is resistivity and in semiconductor expression rho is concentration of charge careers. How can you relate them ? They are different things. And furthermore it varies as (- Eg/2kT ). Thanks for considering the question but I think it's the wrong way
resisitivity can be express in terms of number of electrons that is concentration
all constant terms will cancel out this is the only way to slove this problem