Time management is very much important in IIT JAM. The eduncle test series for IIT JAM Mathematical Statistics helped me a lot in this portion. I am very thankful to the test series I bought from eduncle.
Nilanjan Bhowmick AIR 3, CSIR NET (Earth Science)



Alka gupta
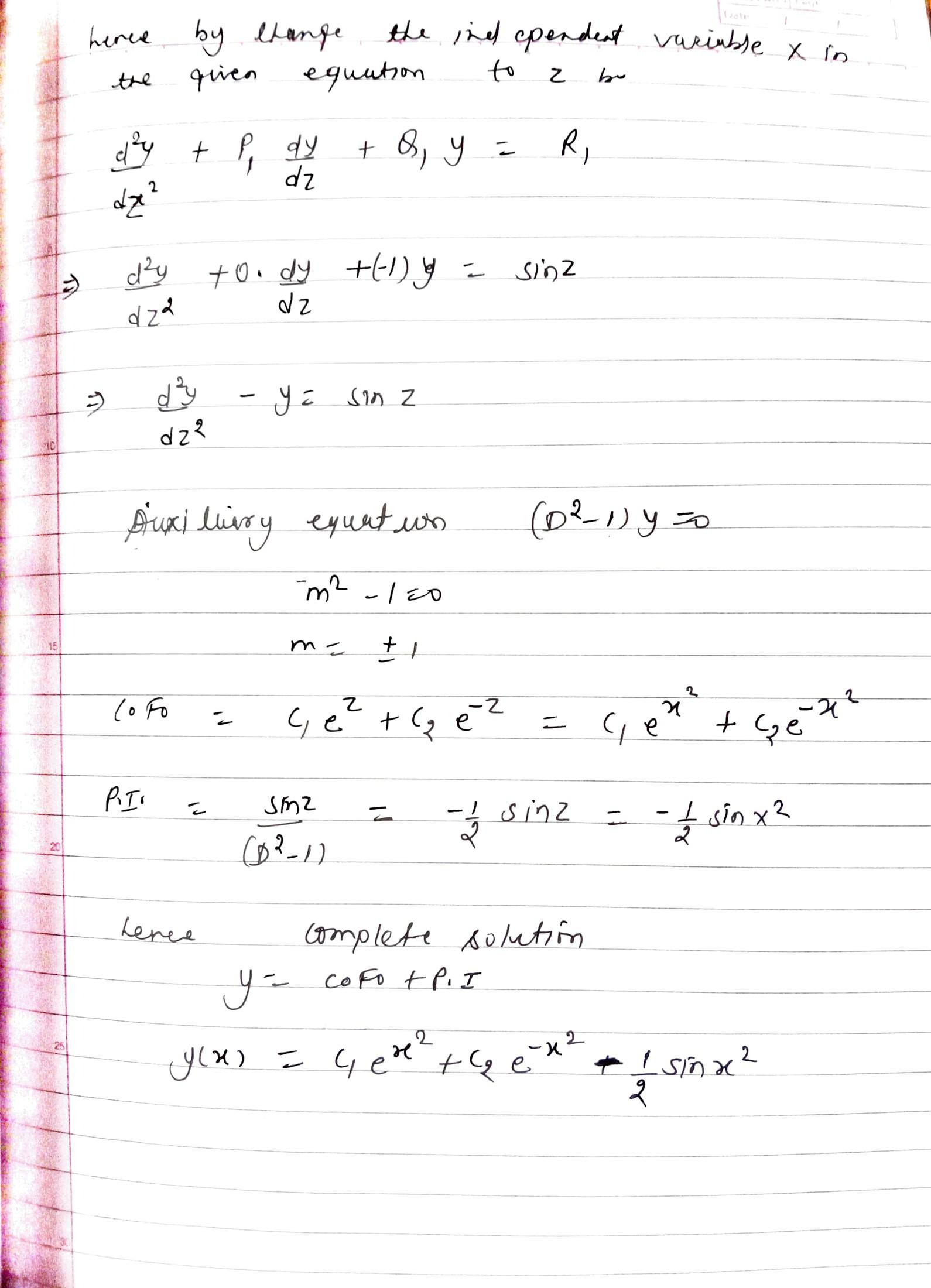
yes u can take -4 also ....i said u always Q1 is arbitrary....u can take any value such that z easily can find
oh so if we any value the answer will be same