Time management is very much important in IIT JAM. The eduncle test series for IIT JAM Mathematical Statistics helped me a lot in this portion. I am very thankful to the test series I bought from eduncle.
Nilanjan Bhowmick AIR 3, CSIR NET (Earth Science)
>


Alka gupta
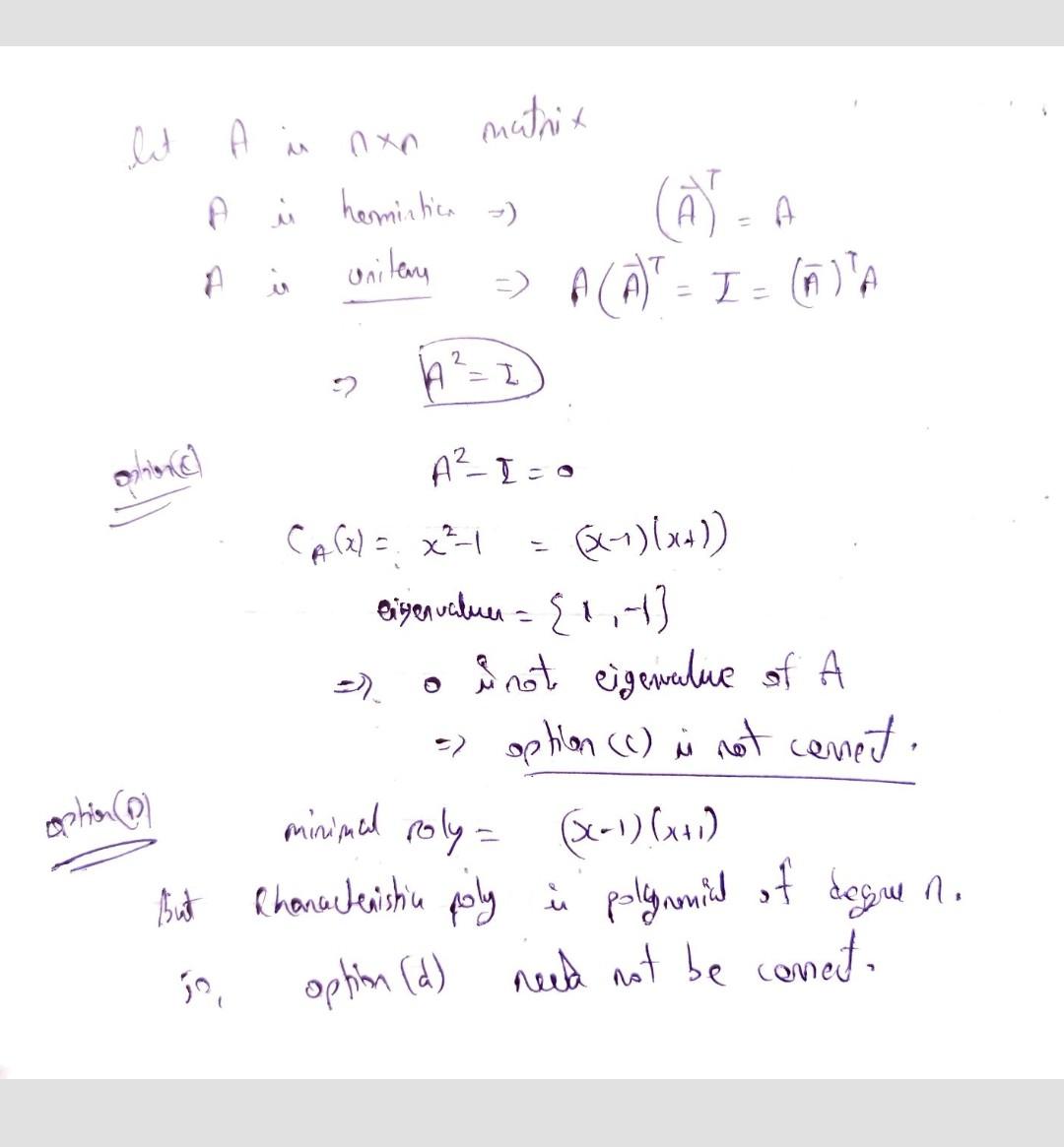
Eigen valus of unitary matrix is always plus minus 1 but never zero....here characteristics equation for nxn matrix is an n degree polynomial but minimal polynomial have only degree two....so both are never same