Time management is very much important in IIT JAM. The eduncle test series for IIT JAM Mathematical Statistics helped me a lot in this portion. I am very thankful to the test series I bought from eduncle.
Nilanjan Bhowmick AIR 3, CSIR NET (Earth Science)
>


Deepak singh 1 Best Answer
Refer attached option b,c
how do you know that f'(x) <0?
???
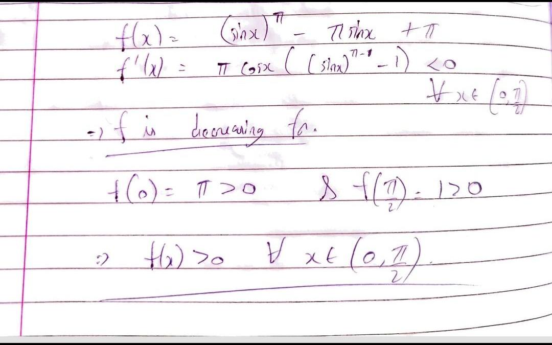
Refer attachment
Sir, I find the inequality incorrect.
???
how its incorrect ?
I am extremely sorry sir, I had been care less. yes it's absolutely true.
its ok..