profile-img
Sohail posted an Question
December 12, 2020 • 19:08 pm 30 points
  • IIT JAM
  • Mathematics (MA)

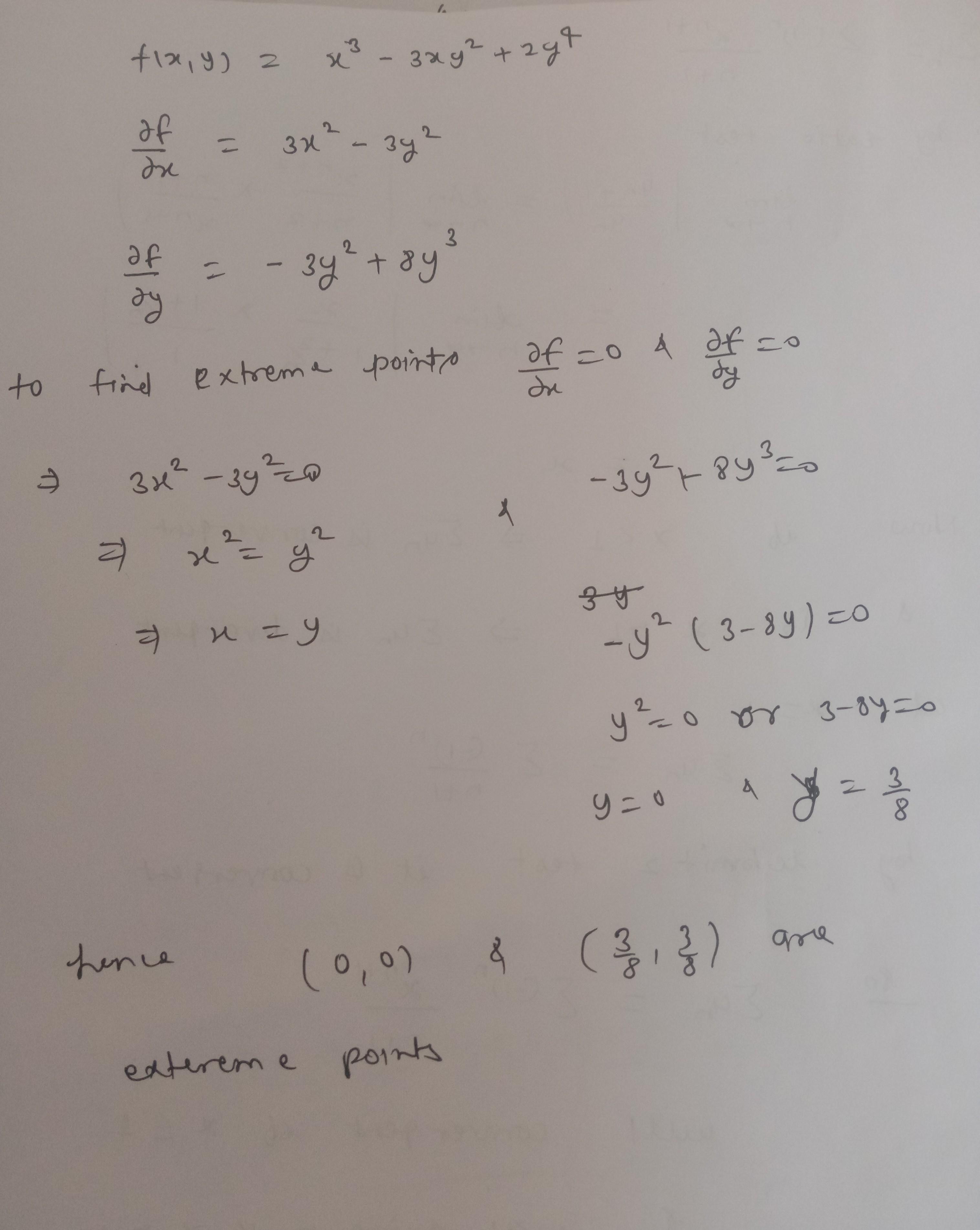
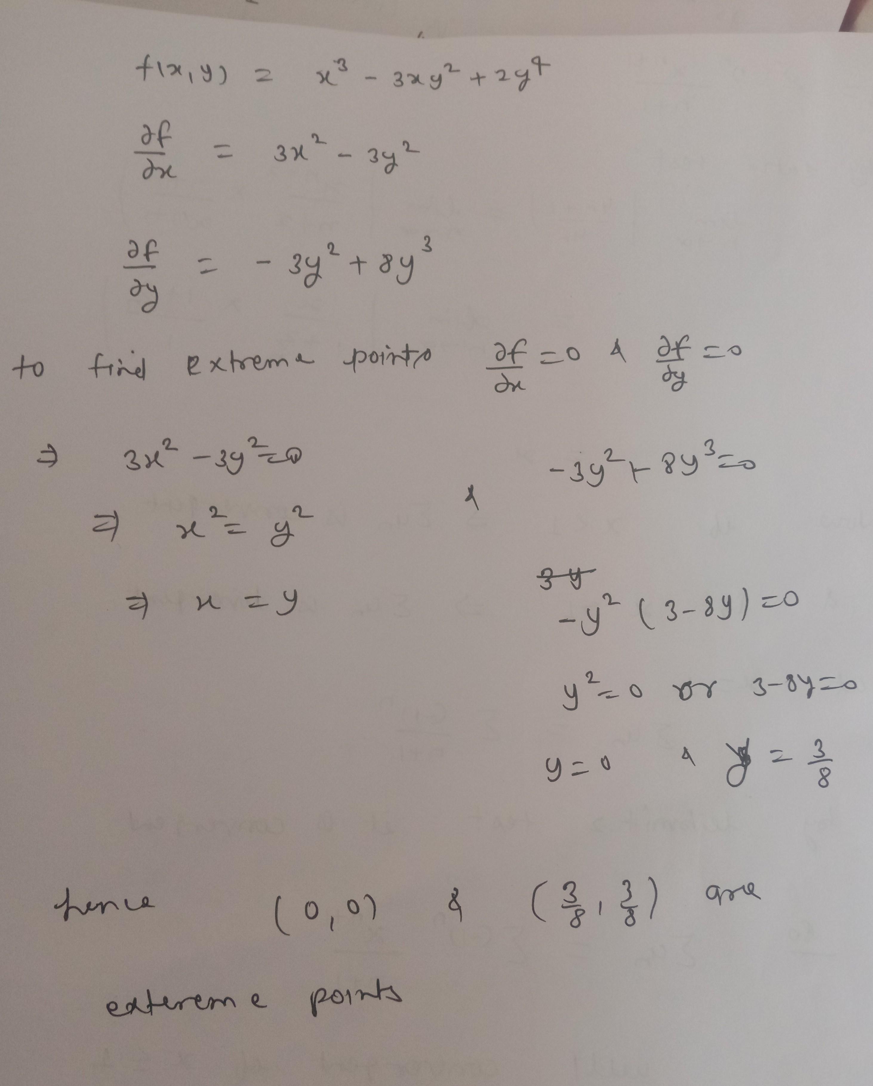
Ioveg.gatr halher g )=x3 8 8r?v2tha h01an fxiaene af lod)

Ioveg.gatr halher g )=x3 8 8r?V2tha h01an fxiaene af loD)

1 Answer(s) Answer Now
  • 1 Likes
  • 2 Comments
  • 0 Shares
whatsapp-btn

Do You Want Better RANK in Your Exam?

Start Your Preparations with Eduncle’s FREE Study Material

  • Updated Syllabus, Paper Pattern & Full Exam Details
  • Sample Theory of Most Important Topic
  • Model Test Paper with Detailed Solutions
  • Last 5 Years Question Papers & Answers