Time management is very much important in IIT JAM. The eduncle test series for IIT JAM Mathematical Statistics helped me a lot in this portion. I am very thankful to the test series I bought from eduncle.
Nilanjan Bhowmick AIR 3, CSIR NET (Earth Science)
>


Kiran goswami
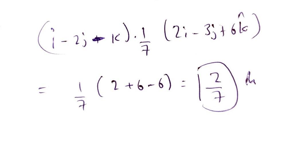
yes method is correct but answer is incorrect it is 2/7
that is not my doubt my doubt is about final answer
2/7
any doubt?