Time management is very much important in IIT JAM. The eduncle test series for IIT JAM Mathematical Statistics helped me a lot in this portion. I am very thankful to the test series I bought from eduncle.
Nilanjan Bhowmick AIR 3, CSIR NET (Earth Science)


Alka gupta
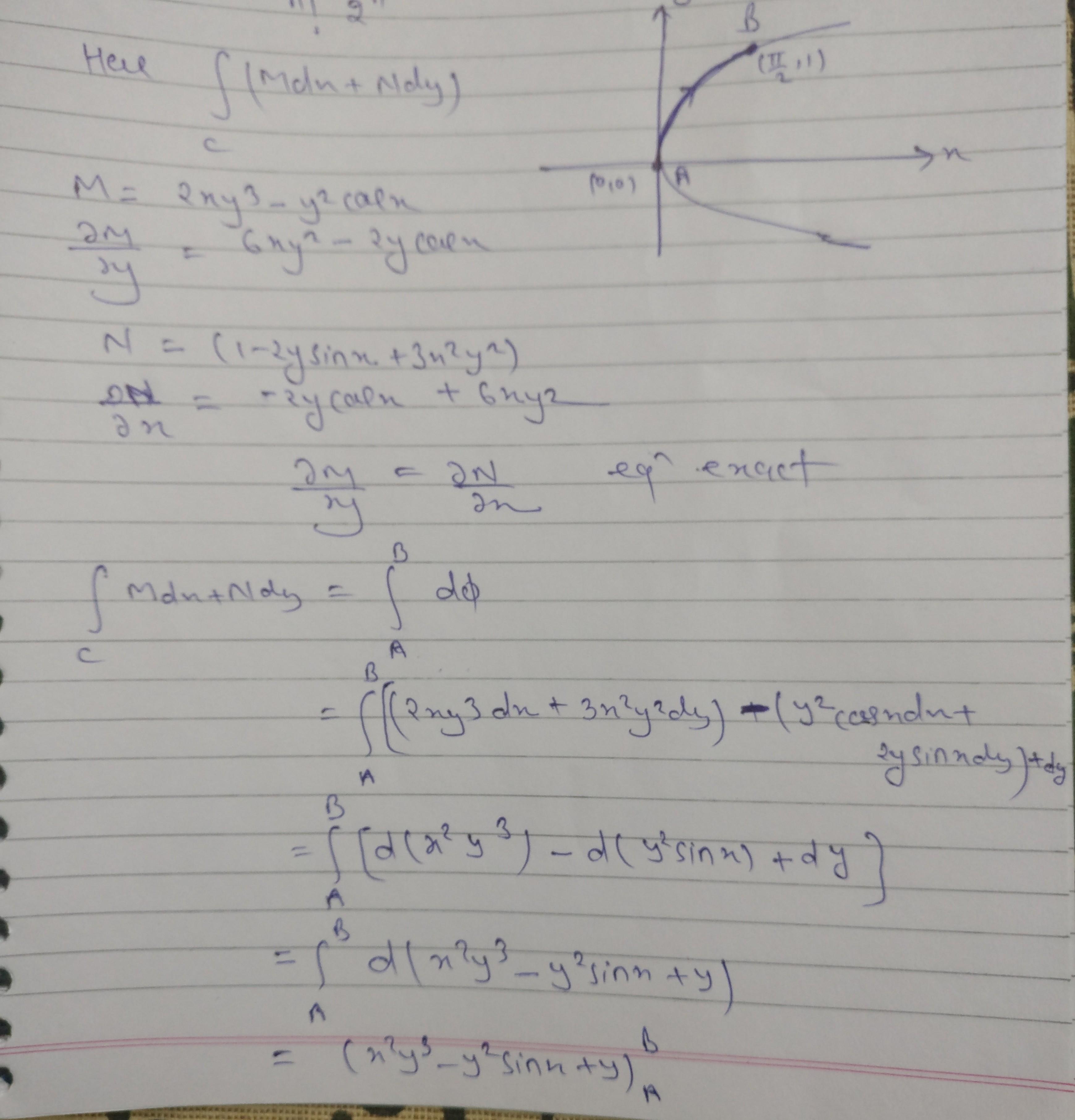
yes this is correct qus....see it's solution
after that exact what have you done there can you explain that
here first I checked exactness.....if equation exact then we have to find a scalar potential function phi ....this is the process to find phi....