Time management is very much important in IIT JAM. The eduncle test series for IIT JAM Mathematical Statistics helped me a lot in this portion. I am very thankful to the test series I bought from eduncle.
Nilanjan Bhowmick AIR 3, CSIR NET (Earth Science)
>
>


Priyanshu kumar
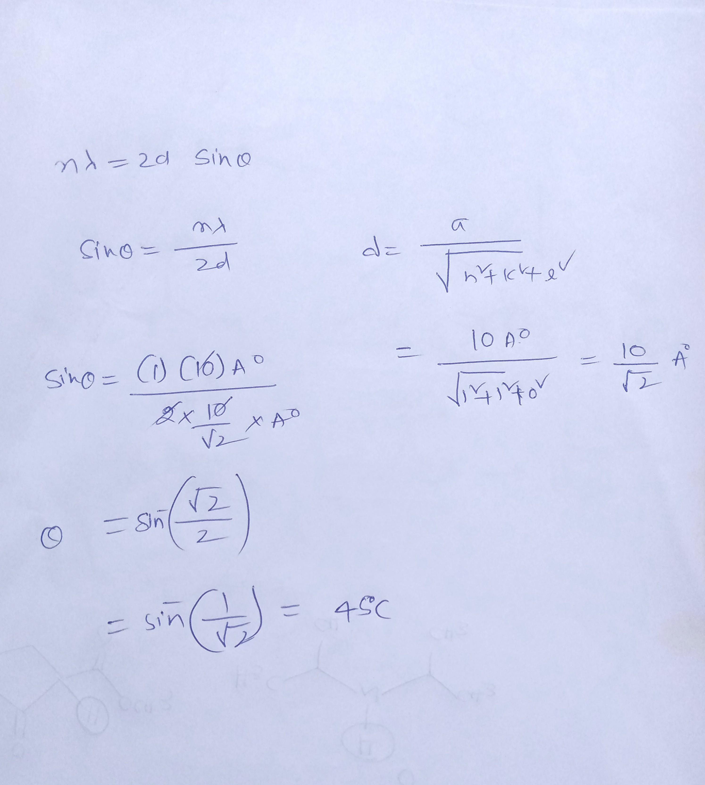
See this👇
got this reshav??
why we have calculated for n=2 here? i mean it is not asked then?
Dear reshav in ques it is asking angle(s)...so you have to check for first order diffraction...second order diffraction and match with the answer...here for n=1 and n=2 both the angles matches with the answer...so both are correct