Time management is very much important in IIT JAM. The eduncle test series for IIT JAM Mathematical Statistics helped me a lot in this portion. I am very thankful to the test series I bought from eduncle.
Nilanjan Bhowmick AIR 3, CSIR NET (Earth Science)
>



Deepak singh 1
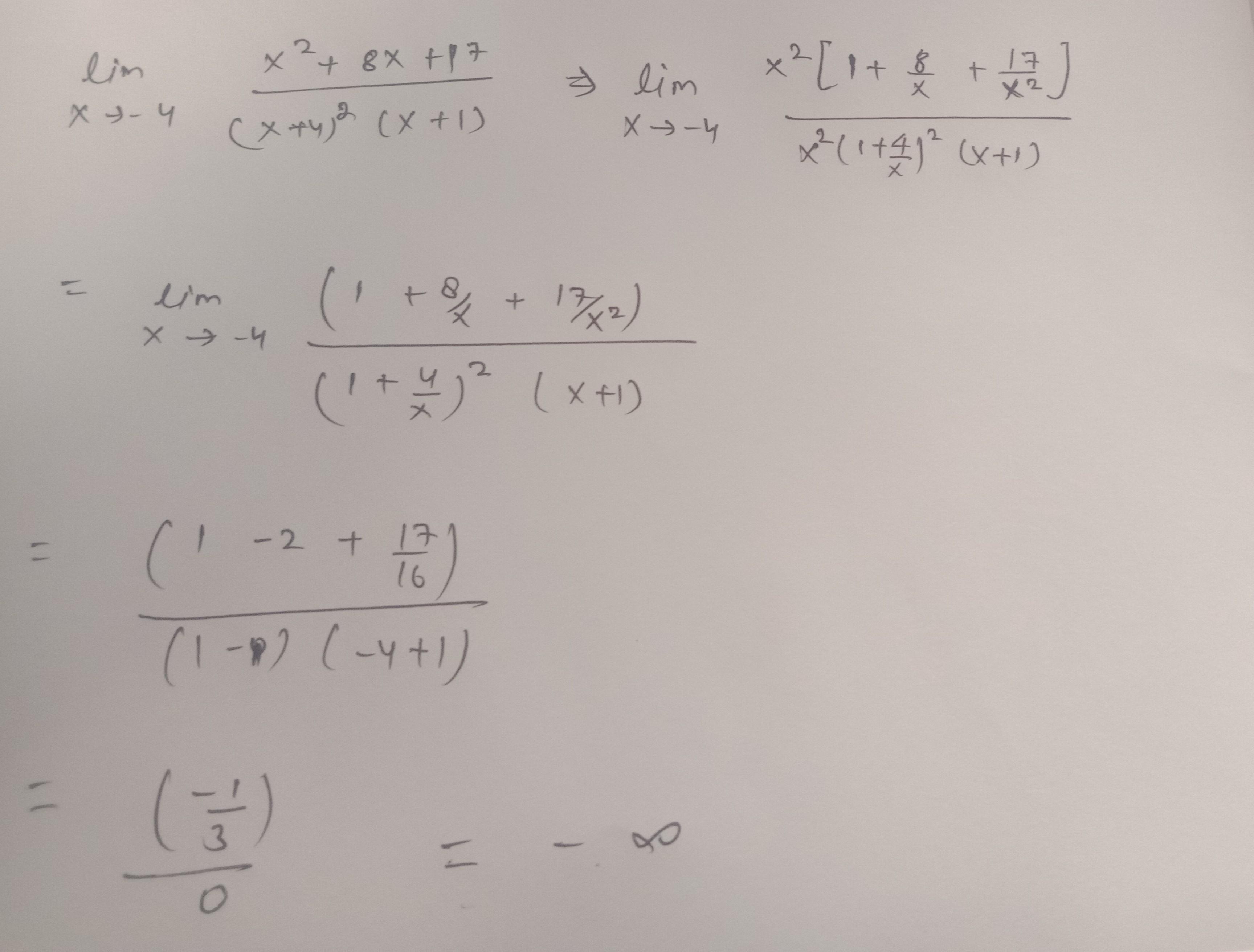
see attached solution if any doubt then ask
it is 1 over 0 form and not 0 over 0 form.
oops sorry , let me update my answer
see updated answer
feel free to ask ...