Time management is very much important in IIT JAM. The eduncle test series for IIT JAM Mathematical Statistics helped me a lot in this portion. I am very thankful to the test series I bought from eduncle.
Nilanjan Bhowmick AIR 3, CSIR NET (Earth Science)
>


Deepak singh 1 Best Answer
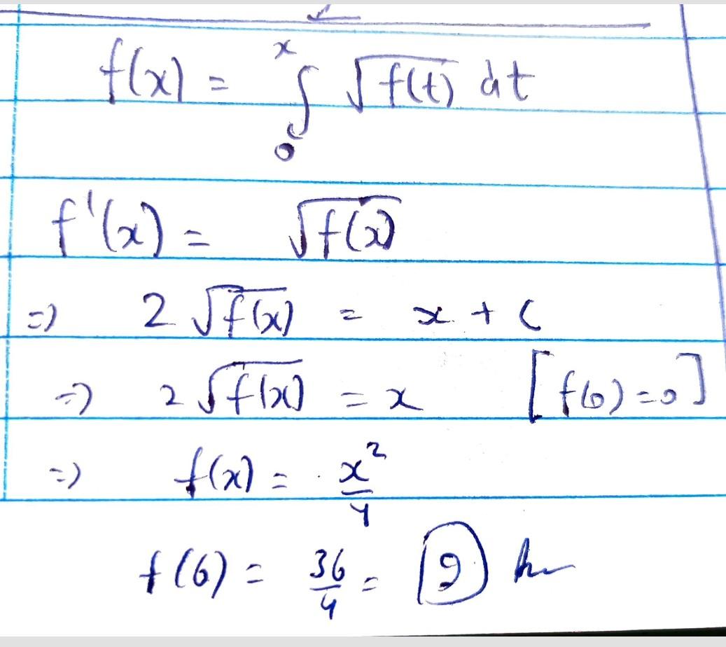
Refer attached 9
how this step come?
integrating both sides
I didn't get it.
Refer attached
doubt
ignore the stuff inside the curly bracket.
??
yes , you have done correct , and see for other doubt