Time management is very much important in IIT JAM. The eduncle test series for IIT JAM Mathematical Statistics helped me a lot in this portion. I am very thankful to the test series I bought from eduncle.
Nilanjan Bhowmick AIR 3, CSIR NET (Earth Science)


Priyadarshan Choursiya Best Answer
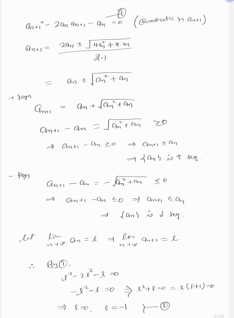
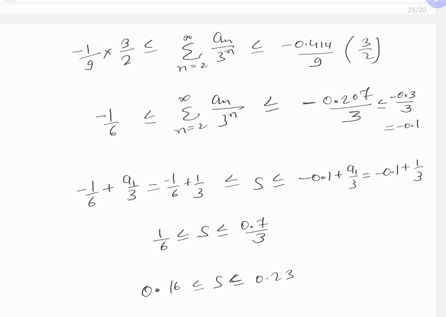
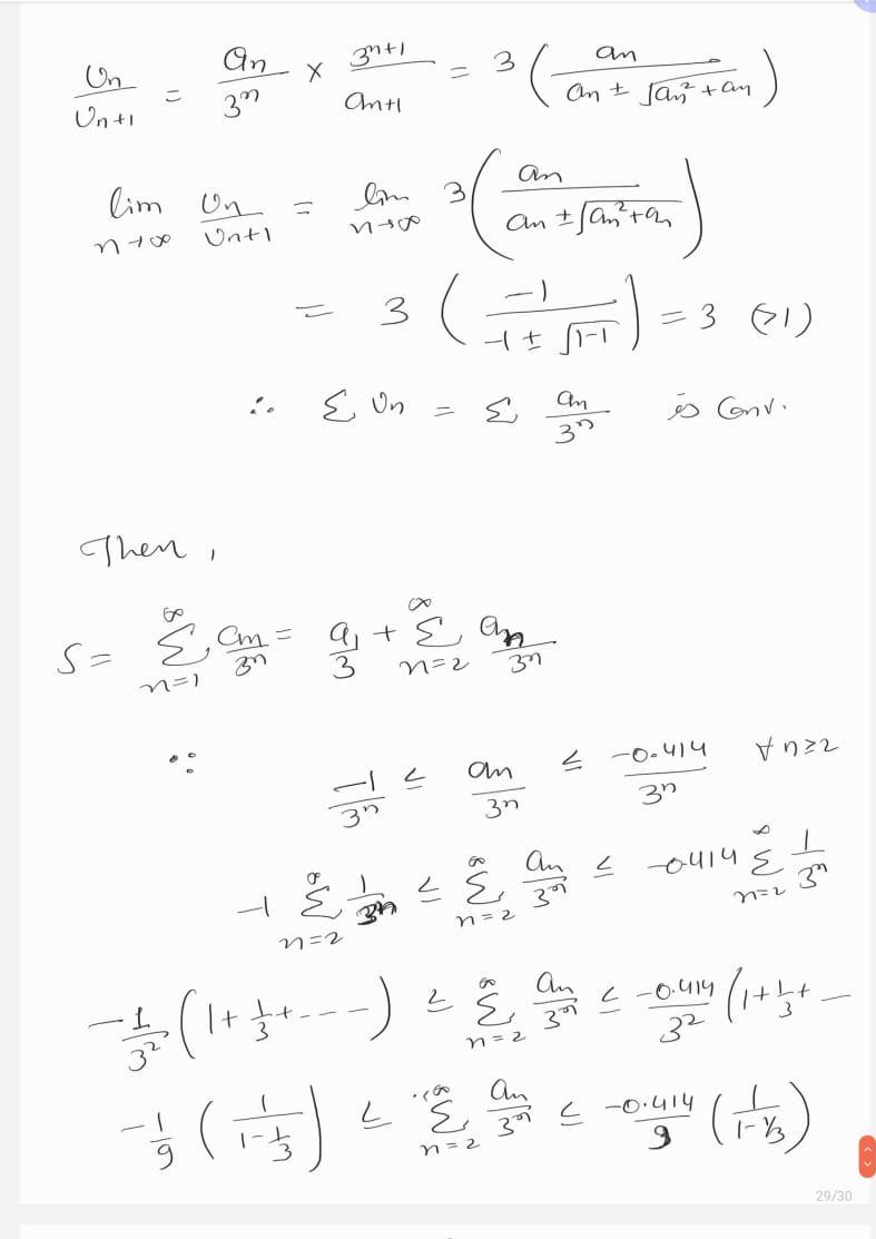
look at my solution. I don't get any correct option. this is the method, check that is u and me got same solution or not.