Time management is very much important in IIT JAM. The eduncle test series for IIT JAM Mathematical Statistics helped me a lot in this portion. I am very thankful to the test series I bought from eduncle.
Nilanjan Bhowmick AIR 3, CSIR NET (Earth Science)
>


Satpal singh
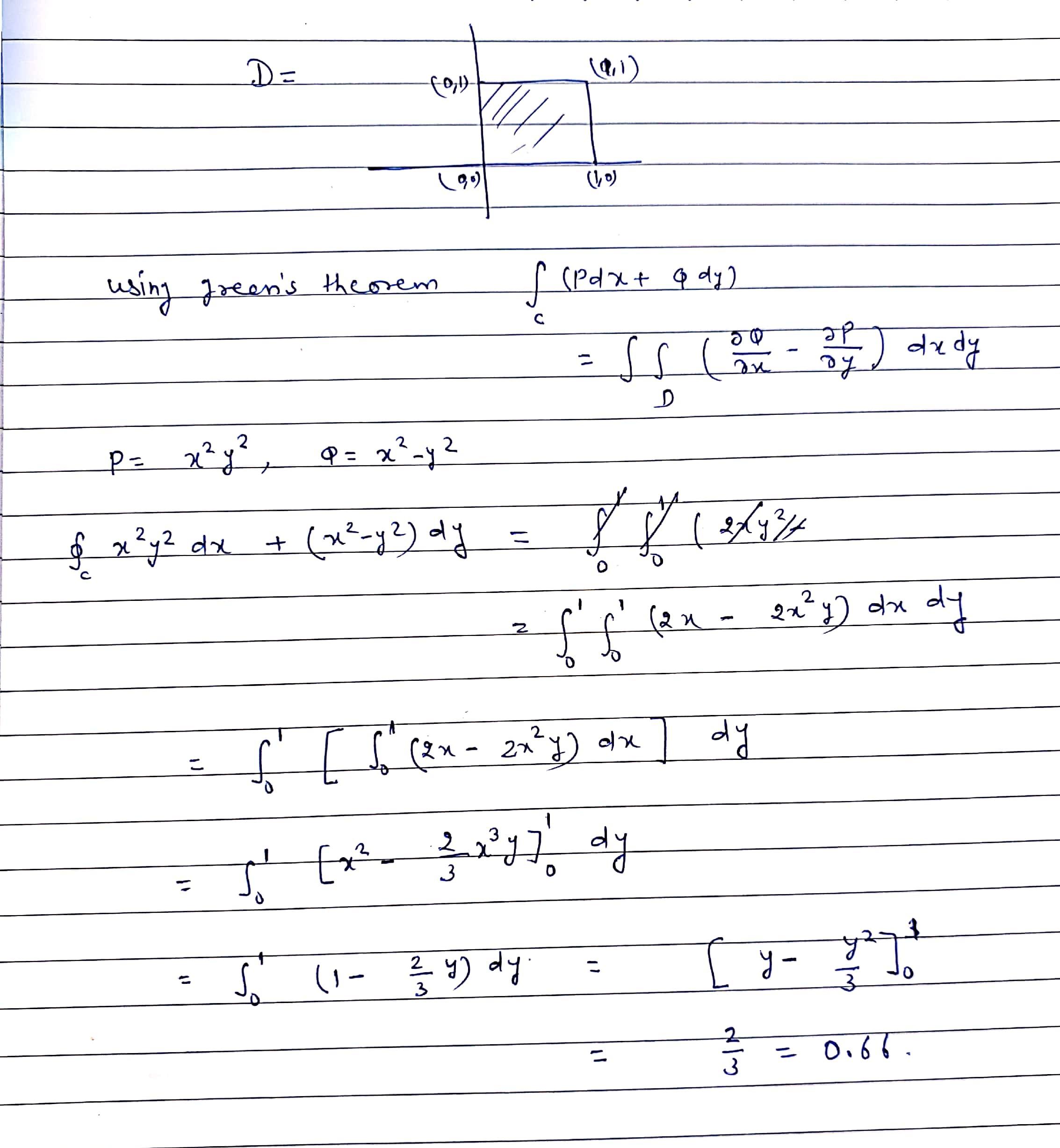
see the attachment
how to take limits in this problem
x varies from 0 to 1 and y varies from 0 to1 in given domain