Mansi Jain posted an Question
February 07, 2022 • 01:50 am 30 points
  • IIT JAM
  • Mathematics (MA)

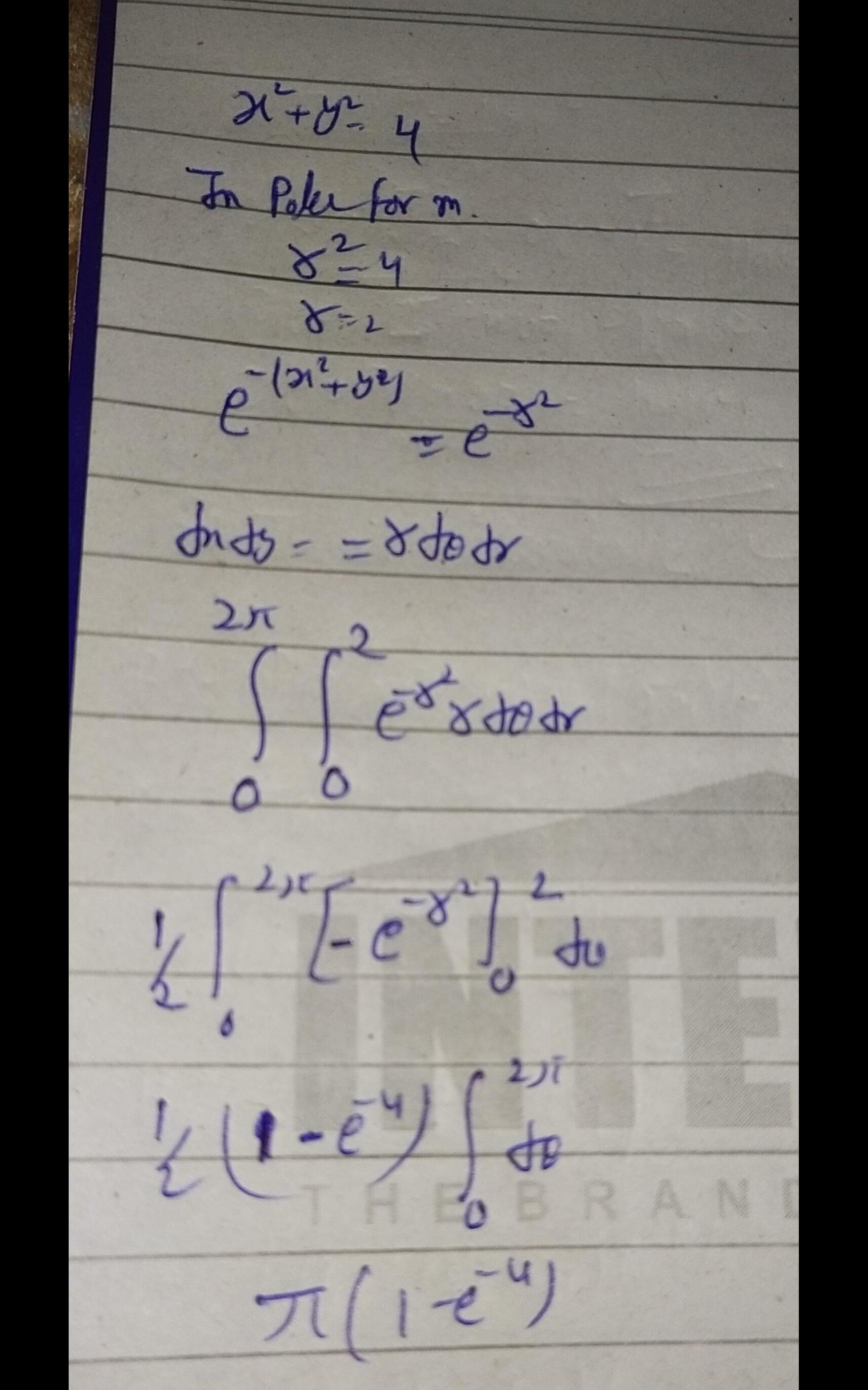
Let d c r denotes the closed disc with center at the origin and radius 2. then sfe-+y") da dy equals (a) t(1-e) (b) (1-ed) (c) t(1 -e2) (d) (1-e2)

Let D C R denotes the closed disc with center at the origin and radius 2. Then Sfe-+y") da dy equals (A) T(1-e) (B) (1-ed) (C) T(1 -e2) (D) (1-e2)

1 Answer(s) Answer Now
  • 0 Likes
  • 1 Comments
  • 0 Shares
whatsapp-btn

Do You Want Better RANK in Your Exam?

Start Your Preparations with Eduncle’s FREE Study Material

  • Updated Syllabus, Paper Pattern & Full Exam Details
  • Sample Theory of Most Important Topic
  • Model Test Paper with Detailed Solutions
  • Last 5 Years Question Papers & Answers