Nandani posted an Question
April 23, 2022 • 20:00 pm 30 points
  • IIT JAM
  • Mathematics (MA)

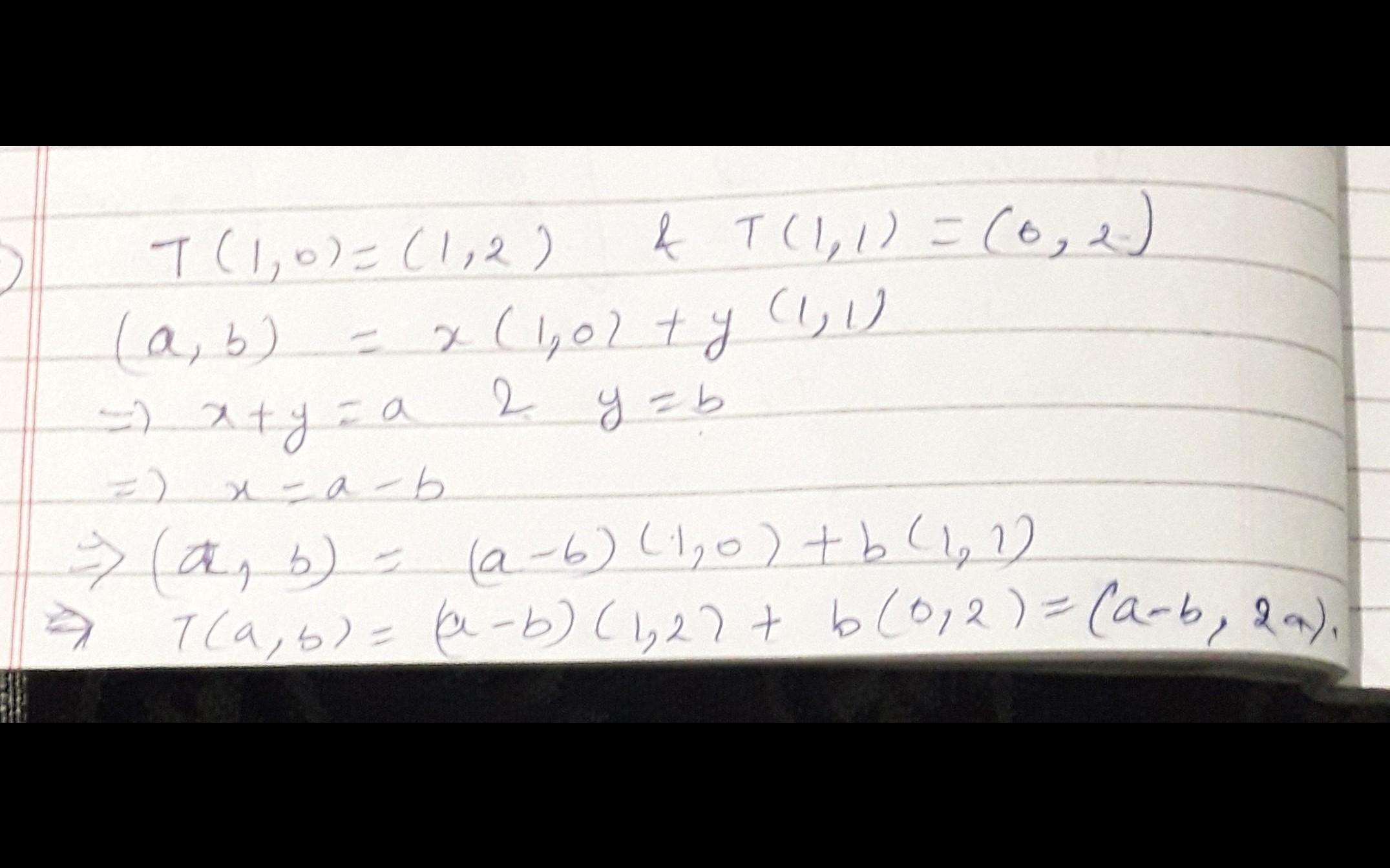
Let t be linear transformation on r into itself such that t(1 0)= (1 2) and t(1, 1)= (0, 2). then, t(a, b) is equal to0 (a) (a, 2b) (a-b, 2a) (b) (2a, b) (d) (a

Let T be linear transformation on R into itself such that T(1 0)= (1 2) and T(1, 1)= (0, 2). Then, T(a, b) is equal to0 (a) (a, 2b) (a-b, 2a) (b) (2a, b) (d) (a- b, 26) If T/ linaar traneformatinn of vector Space

1 Answer(s) Answer Now
  • 0 Likes
  • 1 Comments
  • 0 Shares
whatsapp-btn

Do You Want Better RANK in Your Exam?

Start Your Preparations with Eduncle’s FREE Study Material

  • Updated Syllabus, Paper Pattern & Full Exam Details
  • Sample Theory of Most Important Topic
  • Model Test Paper with Detailed Solutions
  • Last 5 Years Question Papers & Answers