R\" be a linear transformation, where n22 For k sn, let E = {,, v,, ..., V,CR\" and F-{T (v,), T(U,),.. , T(U.)then (a) If E is linearly independent, then F is (a) linearly"> r\" be a linear transformation, where n22 for k sn, let e = {,, v,, ...,">
Sudhanshu Kumar posted an Question
December 04, 2021 • 22:20 pm 30 points
  • IIT JAM
  • Mathematics (MA)

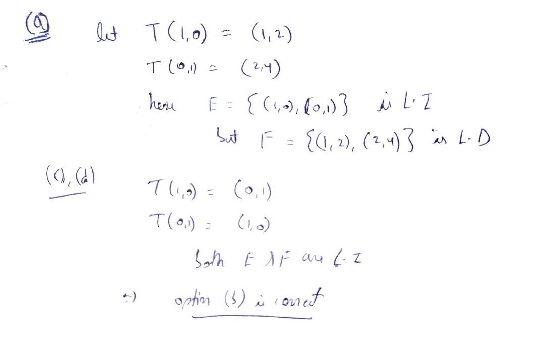
Let t: r">r" be a linear transformation, where n22 for k sn, let e = {,, v,, ..., v,cr" and f-{t (v,), t(u,),.. , t(u.)then (a) if e is linearly independent, th

Let T: R">R" be a linear transformation, where n22 For k sn, let E = {,, v,, ..., V,CR" and F-{T (v,), T(U,),.. , T(U.)then (a) If E is linearly independent, then F is (a) linearly independent If Fis linearly independent, then E is (b) linearly independent (c) If E is linearly independent, then F is linearly dependent (d) IfE is linearly independent, then F is linearly dependent.

1 Answer(s) Answer Now
  • 0 Likes
  • 1 Comments
  • 0 Shares
whatsapp-btn

Do You Want Better RANK in Your Exam?

Start Your Preparations with Eduncle’s FREE Study Material

  • Updated Syllabus, Paper Pattern & Full Exam Details
  • Sample Theory of Most Important Topic
  • Model Test Paper with Detailed Solutions
  • Last 5 Years Question Papers & Answers