Thanu Dharshani posted an Question
August 24, 2021 • 23:28 pm 30 points
  • IIT JAM
  • Mathematics (MA)

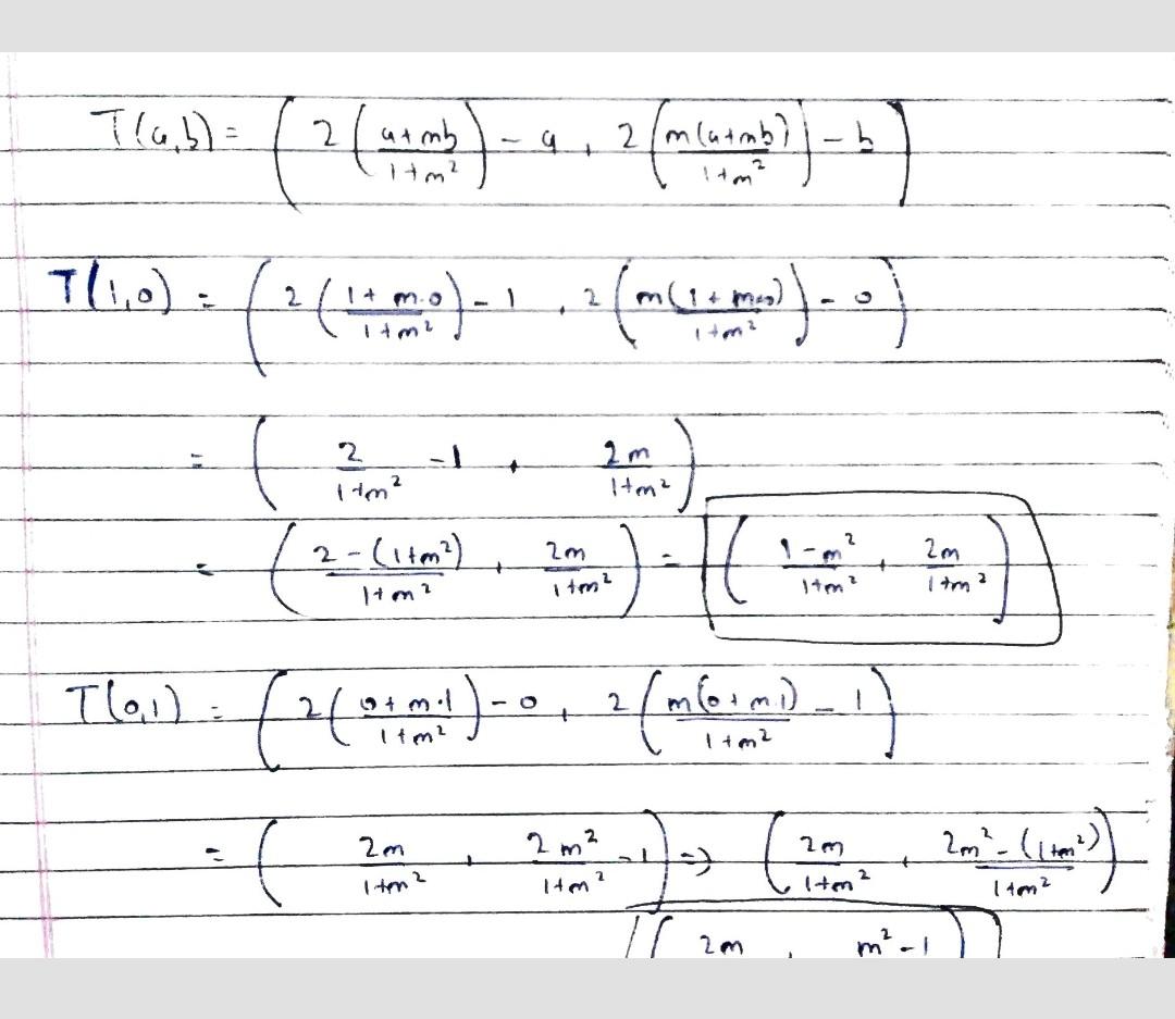
Let t: r>r be a linear transtormation of the 2-dimensional vector space r< (the x-y-plane) to itself which is the reflection across a line y = mx for some m e r

Let T: R>R be a linear transtormation of the 2-dimensional vector space R< (the x-y-plane) to itself which is the reflection across a line y = mx for some m e R Then the matrix representation of the linear transformation T with respect to the standard basis B = {e, e of R, where 1 1m 2m 1+m 2m m 1 1m 2m 1-m 2m -1 (A) (B) (C) 11-m 2m (D) None of these 1-m| 2m m+1

1 Answer(s) Answer Now
  • 0 Likes
  • 1 Comments
  • 0 Shares
whatsapp-btn

Do You Want Better RANK in Your Exam?

Start Your Preparations with Eduncle’s FREE Study Material

  • Updated Syllabus, Paper Pattern & Full Exam Details
  • Sample Theory of Most Important Topic
  • Model Test Paper with Detailed Solutions
  • Last 5 Years Question Papers & Answers