Nandani posted an Question
April 23, 2022 • 19:07 pm 30 points
  • IIT JAM
  • Mathematics (MA)

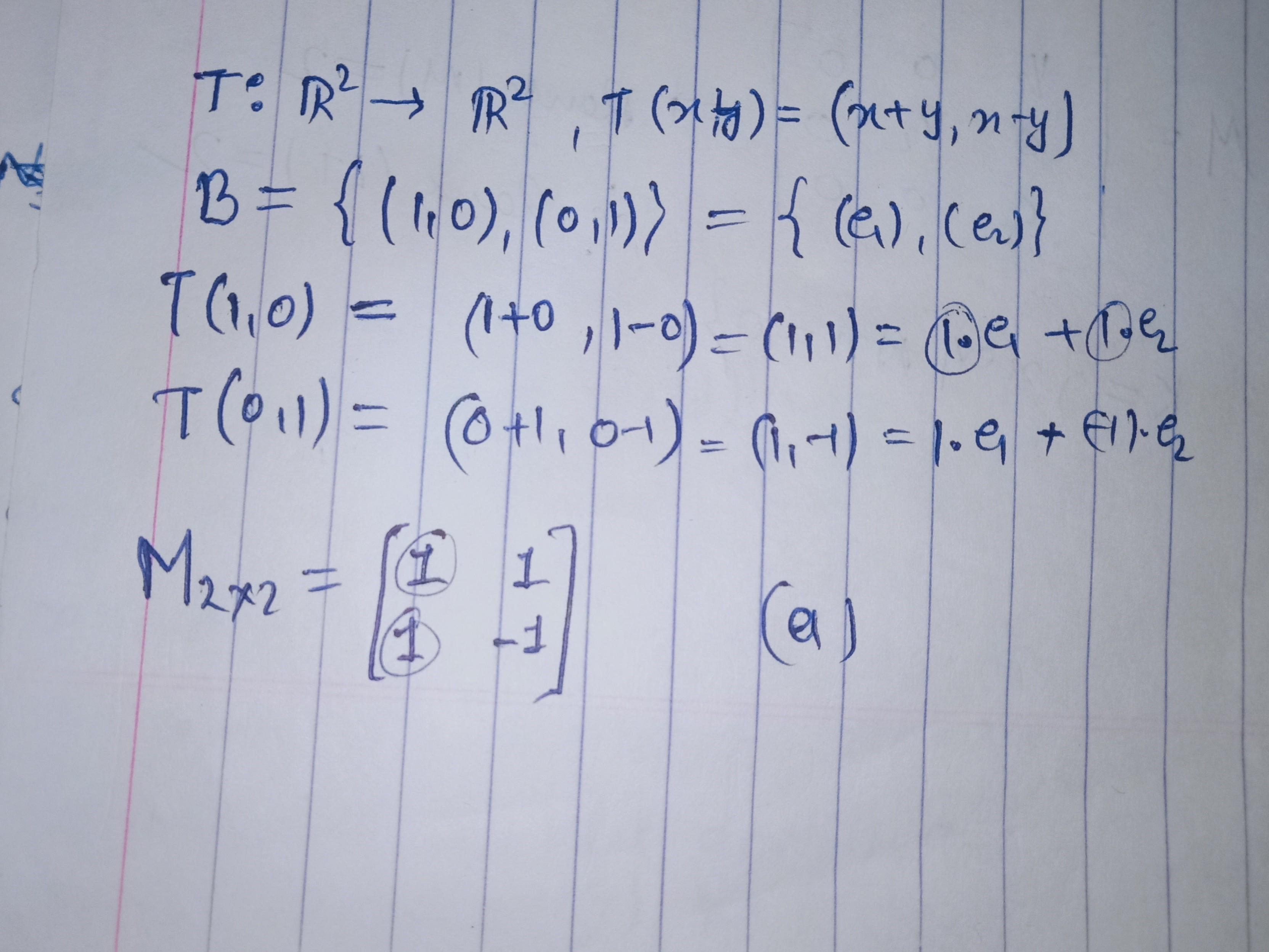
Let t: r r be defined by tox, y)=(x+y, x-y) which one of the following is the matrix of t for (0, 1) and (1, 0) as a basis for both domain and range of 11 1 (a)

Let T: R R be defined by TOX, y)=(x+y, x-y) Which one of the following is the matrix of T for (0, 1) and (1, 0) as a basis for both domain and range of 11 1 (a) -1 -1 1 1 1 (c) (d) -1 1

1 Answer(s) Answer Now
  • 0 Likes
  • 1 Comments
  • 0 Shares
whatsapp-btn

Do You Want Better RANK in Your Exam?

Start Your Preparations with Eduncle’s FREE Study Material

  • Updated Syllabus, Paper Pattern & Full Exam Details
  • Sample Theory of Most Important Topic
  • Model Test Paper with Detailed Solutions
  • Last 5 Years Question Papers & Answers