Time management is very much important in IIT JAM. The eduncle test series for IIT JAM Mathematical Statistics helped me a lot in this portion. I am very thankful to the test series I bought from eduncle.
Nilanjan Bhowmick AIR 3, CSIR NET (Earth Science)
>


Vishal saini
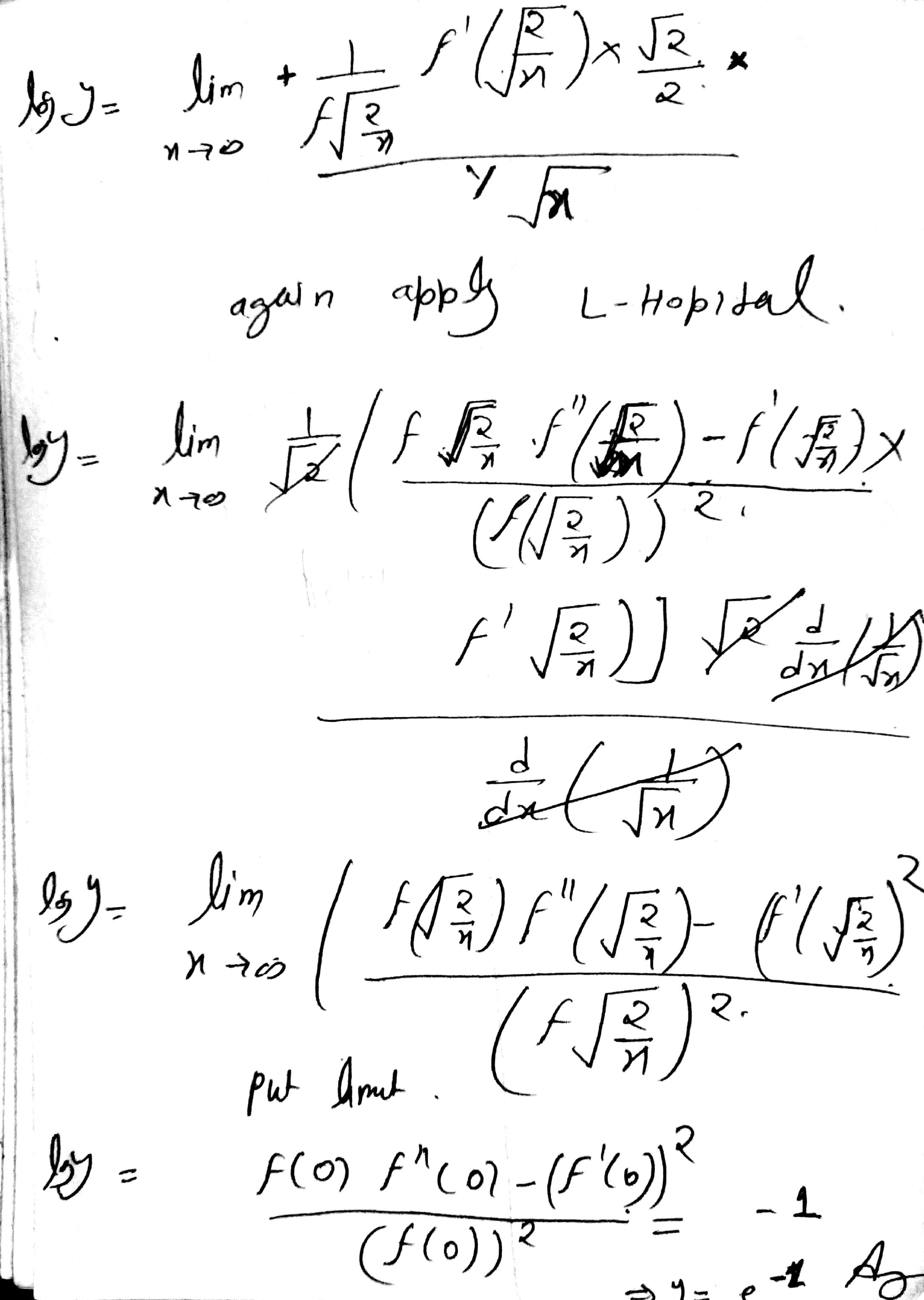
1/e
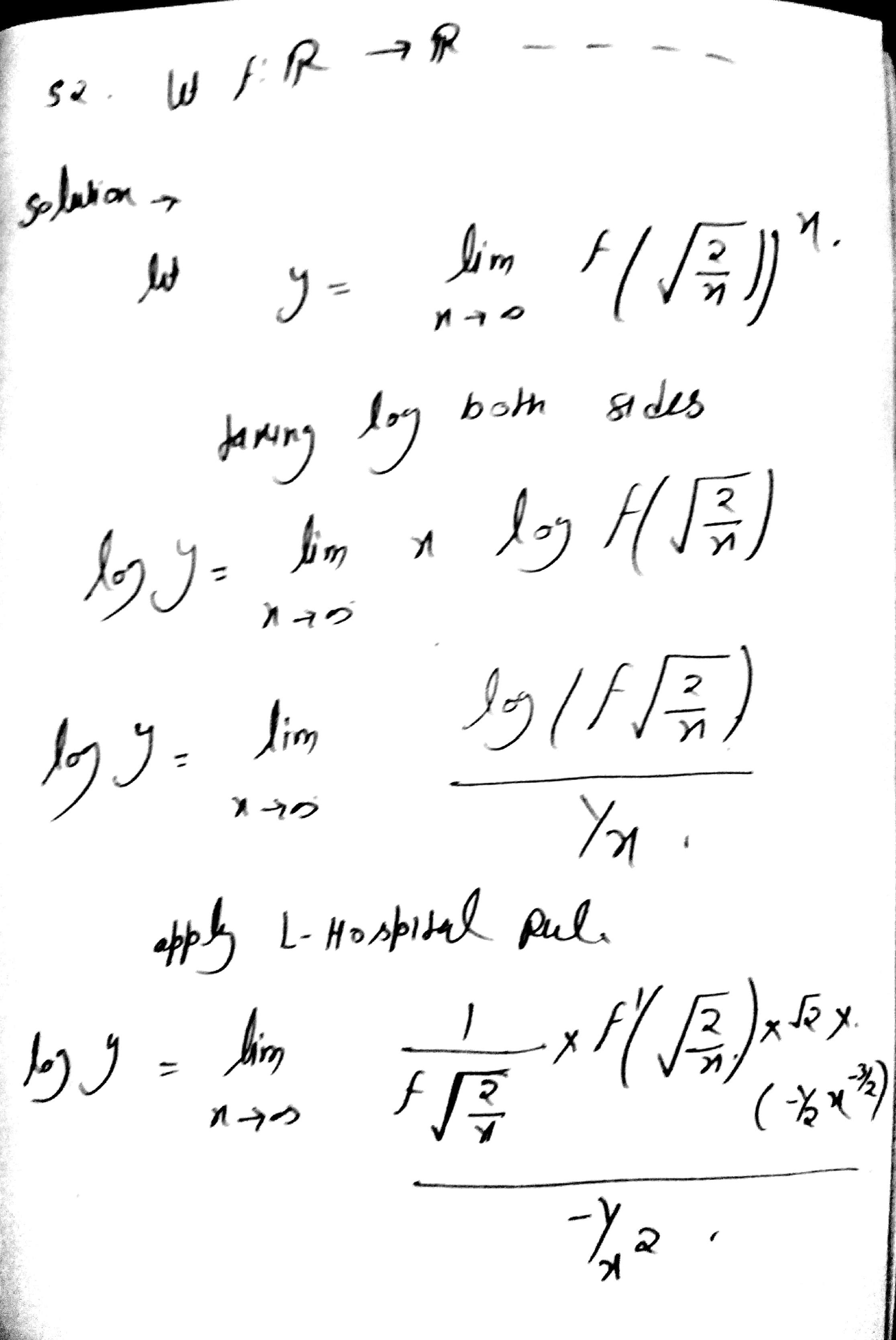
what is wron g in my solution? give reason/s
you can put limit like this
if you wants to put the limit, notic that function should not be in indeterminate form
that's why your answer is wrong
if indeterminant form then I will use the lhospital rule.
yes
don't put limit like this
again what is the reason here?
please see the answer again and you will get your answer
yes you have applied lhospital rule multiple times what can I draw from that?
what you wants to know
please read the rules how to find limit of a function from 12 th class book