Aditi posted an Question
November 15, 2021 • 17:50 pm 30 points
  • IIT JAM
  • Mathematics (MA)

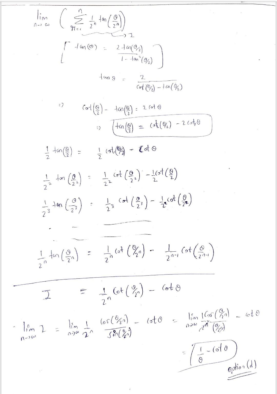
Lim tan 0tanan an, (a) (b)-2cot 20 (c) 2cot 20 (d) none of these

lim tan 0tanan an, (a) (b)-2cot 20 (c) 2cot 20 (d) None of these

1 Answer(s) Answer Now
  • 0 Likes
  • 1 Comments
  • 0 Shares
whatsapp-btn

Do You Want Better RANK in Your Exam?

Start Your Preparations with Eduncle’s FREE Study Material

  • Updated Syllabus, Paper Pattern & Full Exam Details
  • Sample Theory of Most Important Topic
  • Model Test Paper with Detailed Solutions
  • Last 5 Years Question Papers & Answers