Time management is very much important in IIT JAM. The eduncle test series for IIT JAM Mathematical Statistics helped me a lot in this portion. I am very thankful to the test series I bought from eduncle.
Nilanjan Bhowmick AIR 3, CSIR NET (Earth Science)
>
>



Chandra prakash
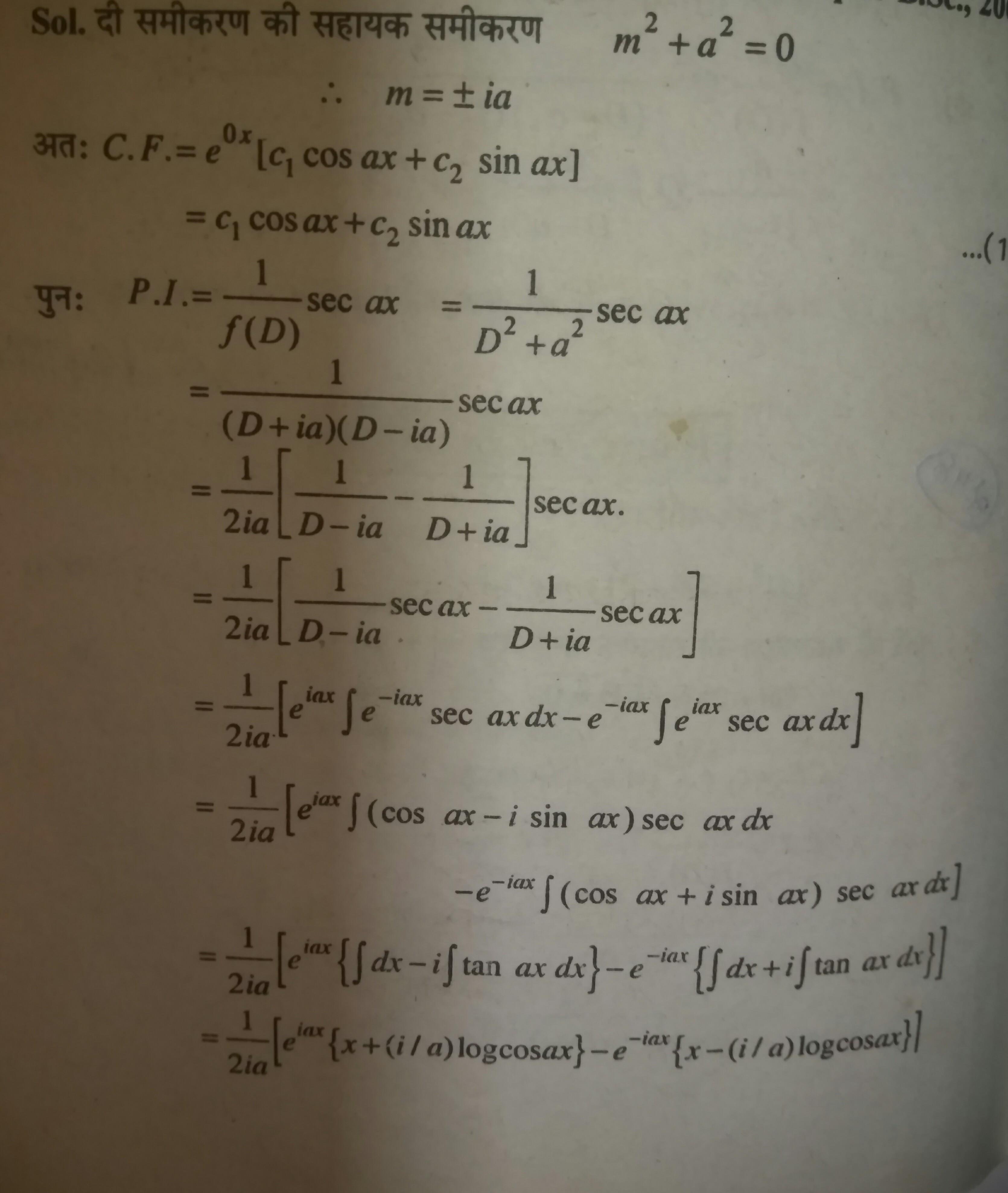
see attached file it's very helpful for you dear
if you have any doubt regarding this prob u can ask
is there. any short trick or method
no dear..
but U can put given option in DE and which will satisfy the equation would be it's option
ok