Time management is very much important in IIT JAM. The eduncle test series for IIT JAM Mathematical Statistics helped me a lot in this portion. I am very thankful to the test series I bought from eduncle.
Nilanjan Bhowmick AIR 3, CSIR NET (Earth Science)
>

>
>


Dhairya sharma
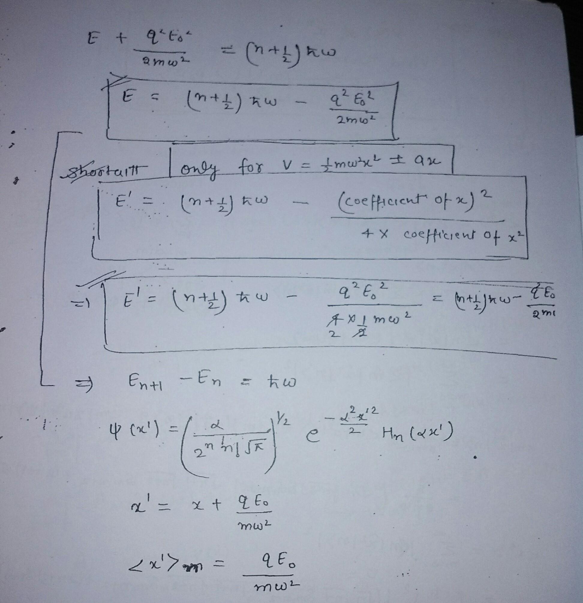
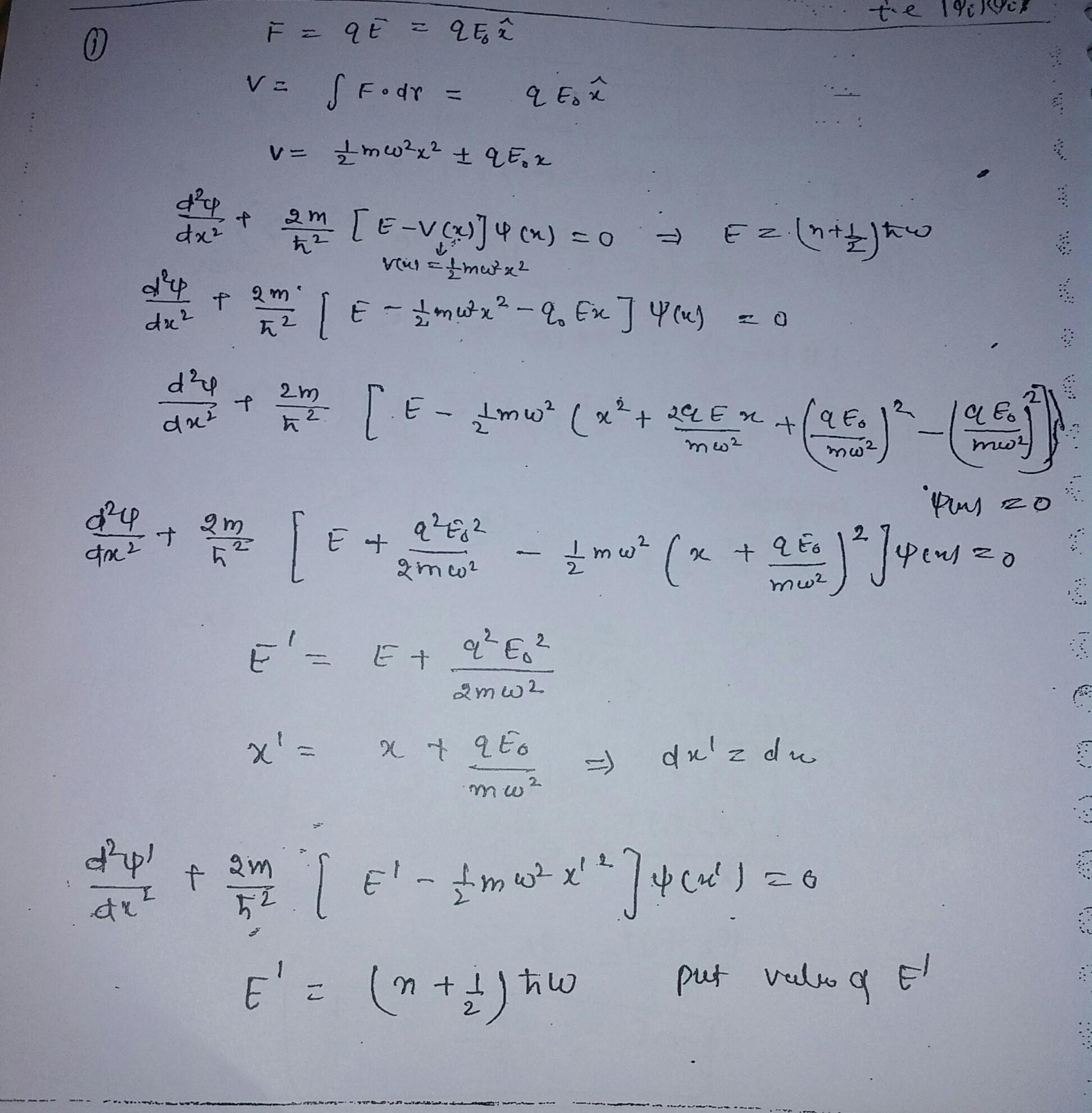
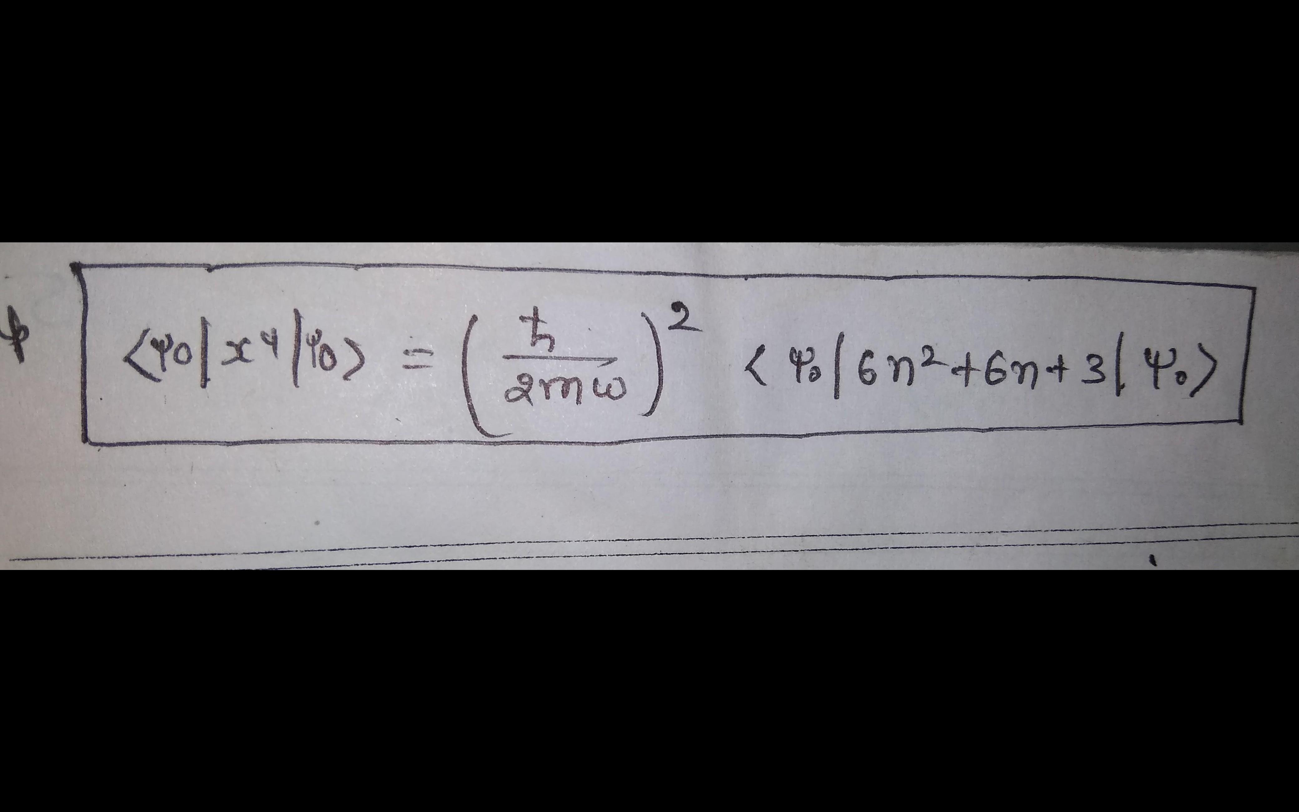
yes dear fourth power x is also important just put n= 0 for ground state, 1 for 1st excited state. this is most probable i recommend u to memorise it because these hv big calculation and highly probable
Ok thank you mam
welcome dear