Time management is very much important in IIT JAM. The eduncle test series for IIT JAM Mathematical Statistics helped me a lot in this portion. I am very thankful to the test series I bought from eduncle.
Nilanjan Bhowmick AIR 3, CSIR NET (Earth Science)


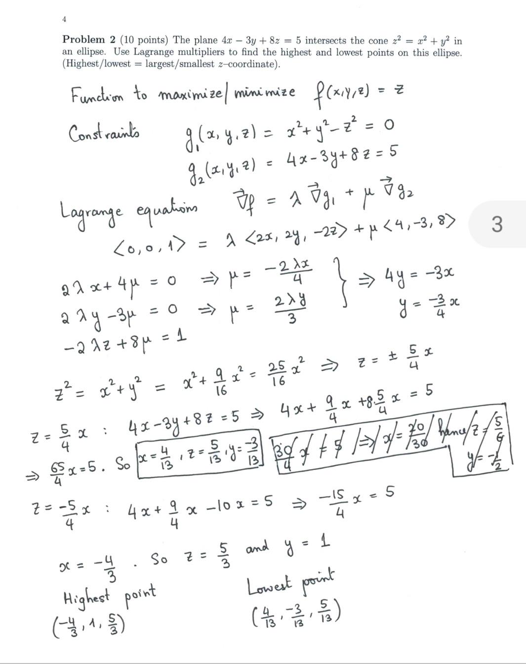
Anonymous User Best Answer
mistake in question bcz intersection point satisfy both curve but here no point satisfy so all options wrong
how is maximizing function =z??
check right answer
all options wrong
sir, f(x,y,z) =z qu liya apne?
f(x,y,z)=z minimize and maximize
z kaha se aaya??
read question last line highest lowest z
understand