Time management is very much important in IIT JAM. The eduncle test series for IIT JAM Mathematical Statistics helped me a lot in this portion. I am very thankful to the test series I bought from eduncle.
Nilanjan Bhowmick AIR 3, CSIR NET (Earth Science)
		
			
			
			
			
			
			
			
			
			
            
            

                
Anonymous User Best Answer
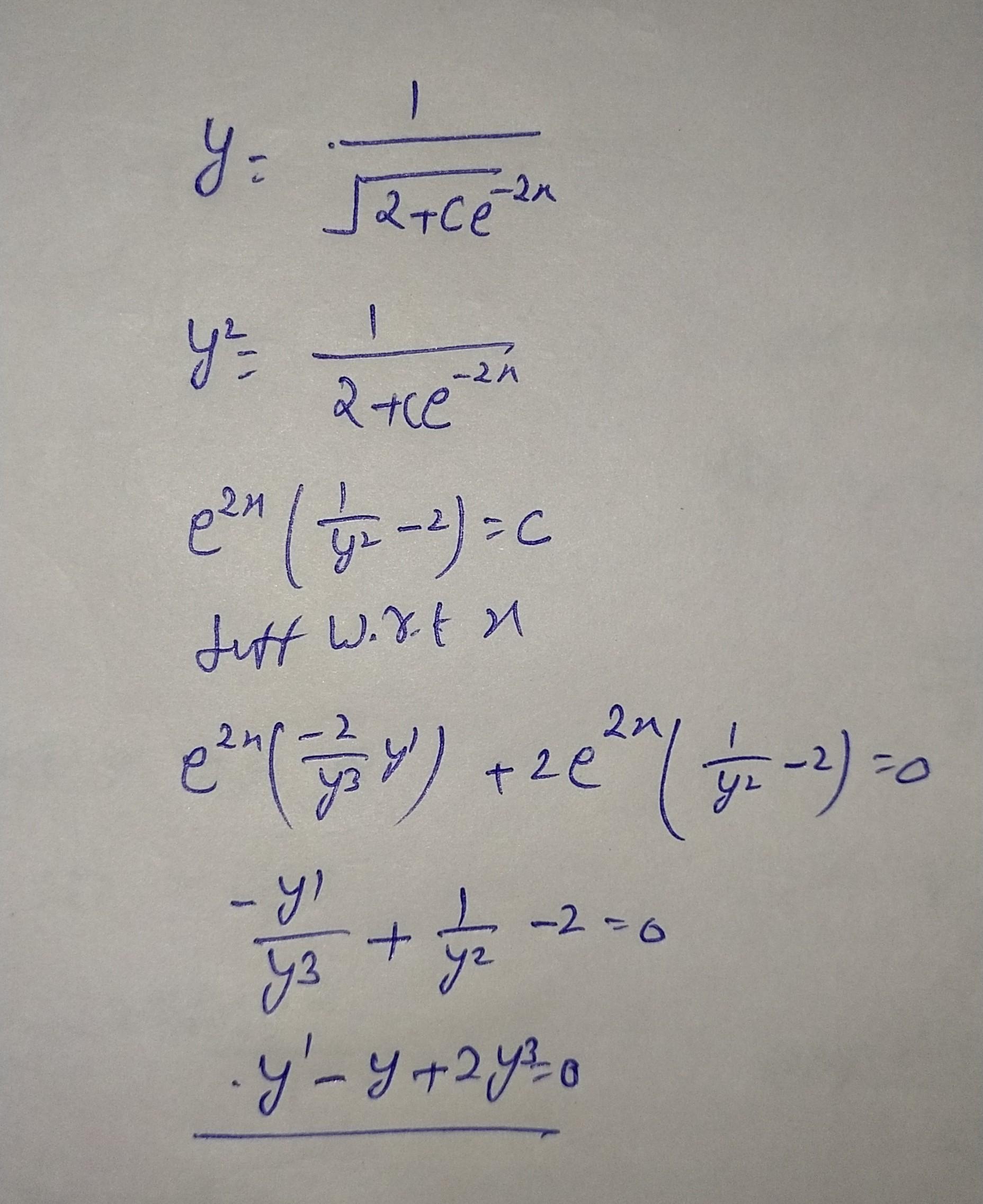
D check attachment
it's msq two options are correct
sorry only D
check attachment
A is also correct.
only D right A not right