Rajat Jain posted an Question
May 21, 2020 • 18:21 pm 50 points
  • IIT JAM
  • Mathematics (MA)

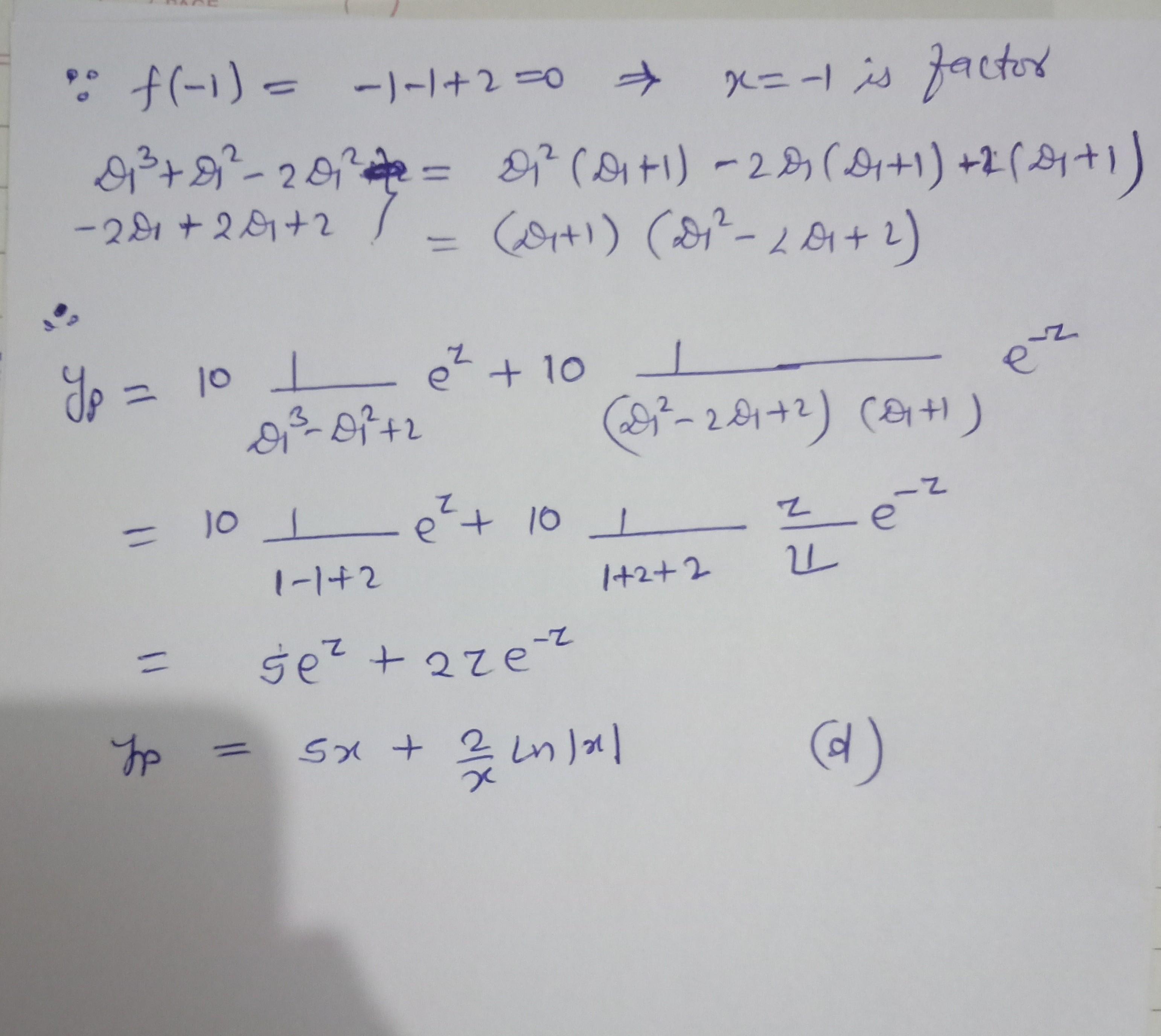
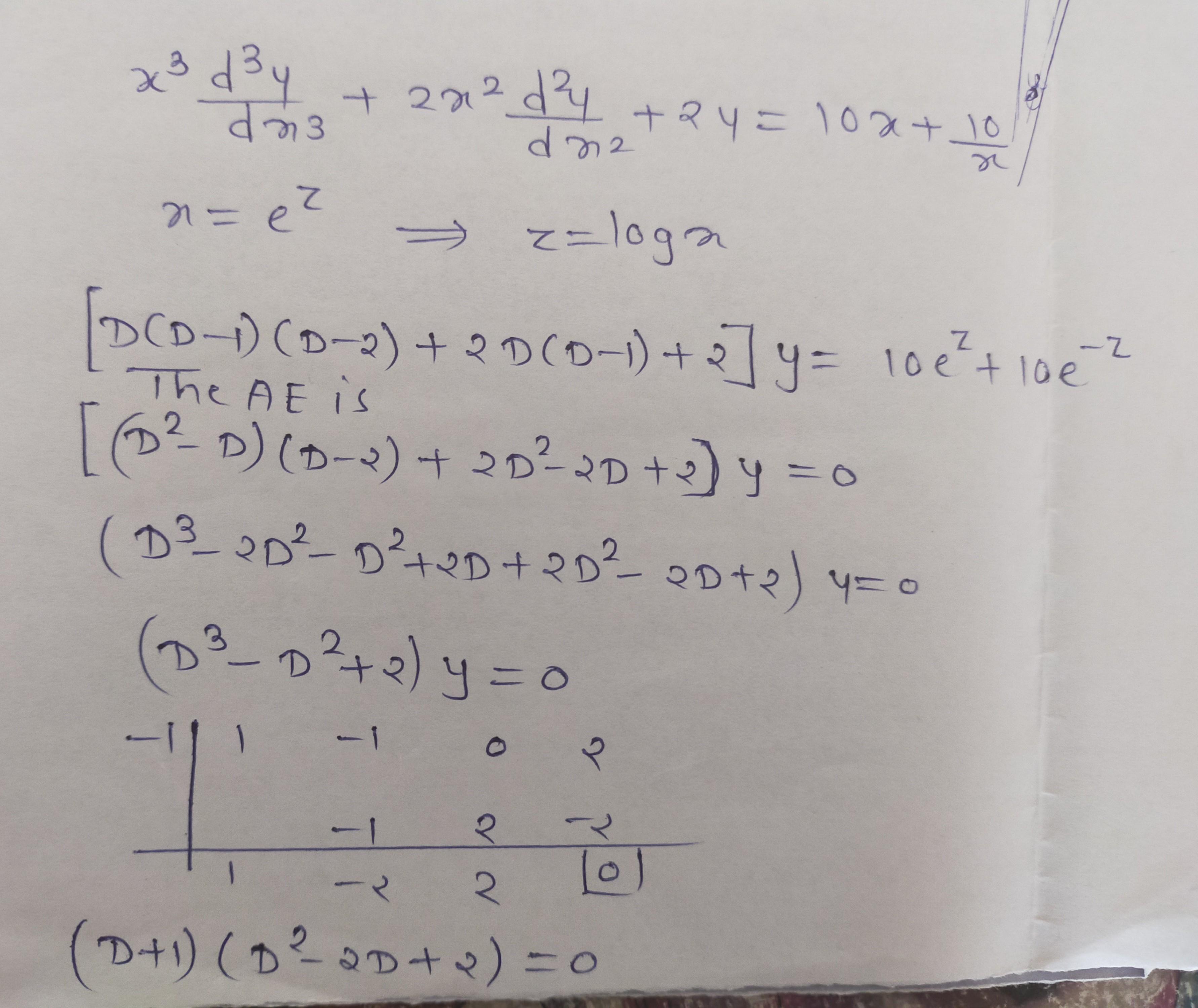
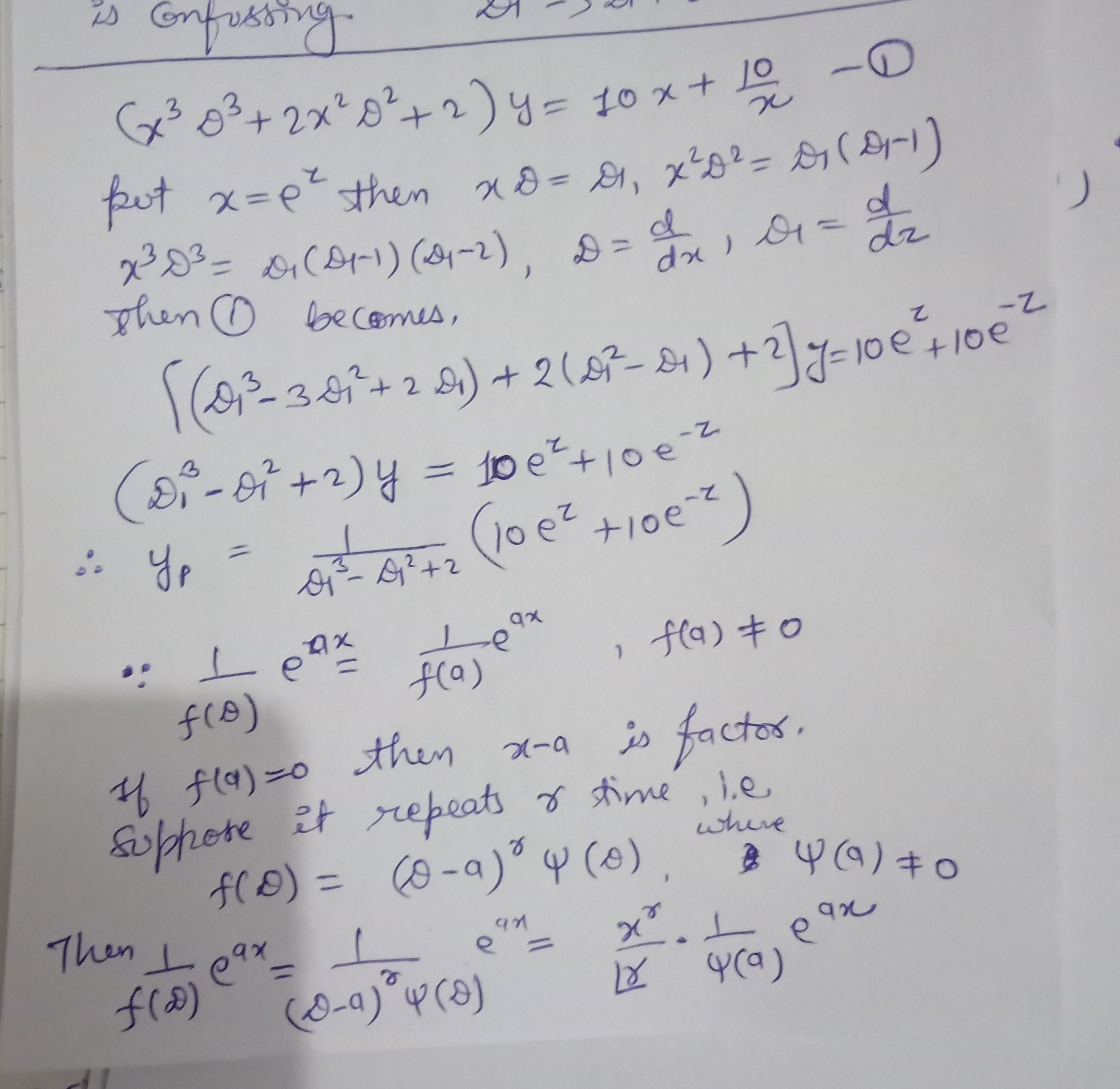
Mat 30 find the pi of x d +2x +2y 10 x + 10 dx 5x - log x 5x - 2x log x x (a) 210g (b) 5x + 2x log x x (c) (d) 5x+ 2x log x erotial (dlmlltidl e sel cctoupetia

Mat 30 Find the PI of x d +2x +2y 10 x + 10 dx 5x - log x 5x - 2x log x X (A) 210g (B) 5x + 2x log x X (C) (D) 5x+ 2x log x eroTIAL (DLMLLTIDL E SEL CCTOUPeTIA

2 Answer(s) Answer Now
  • 0 Likes
  • 2 Comments
  • 0 Shares
whatsapp-btn

Do You Want Better RANK in Your Exam?

Start Your Preparations with Eduncle’s FREE Study Material

  • Updated Syllabus, Paper Pattern & Full Exam Details
  • Sample Theory of Most Important Topic
  • Model Test Paper with Detailed Solutions
  • Last 5 Years Question Papers & Answers