Time management is very much important in IIT JAM. The eduncle test series for IIT JAM Mathematical Statistics helped me a lot in this portion. I am very thankful to the test series I bought from eduncle.
Nilanjan Bhowmick AIR 3, CSIR NET (Earth Science)
>
>

>


Dhairya sharma
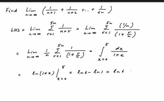
dear look the file m attaching. if we take n>5 then we would go outside the series. so to get expression in a given range to series we can't go beyond n>5. still have any doubt plz ask.